
Сравнить логарифмы( с решением) а)логарифм 80 по основанию 20 и логарифм 640 по основанию 80 б)логарифм 675 по основанию 135 и логарифм 480 по основанию 80в)логарифм 675 по основанию 135 и логарифм 75?
Сравнить логарифмы( с решением) а)логарифм 80 по основанию 20 и логарифм 640 по основанию 80 б)логарифм 675 по основанию 135 и логарифм 480 по основанию 80
в)логарифм 675 по основанию 135 и логарифм 75 по основанию 45
г)(логарифм 5 по основанию 2) ^ 2 и логарифм 20 по основанию 2.

Помогите решить 2 логарифма?
Помогите решить 2 логарифма.
√56, √58.
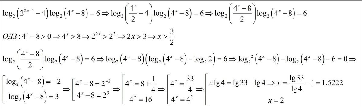
Картинка ниже.

Вычислите логарифм по основанию и логарифм 6 по основанию?
Вычислите логарифм по основанию и логарифм 6 по основанию.

Логарифмы 400 баллов Помогите пожалуйста с логарифмами Заранее спасибо?
Логарифмы 400 баллов Помогите пожалуйста с логарифмами Заранее спасибо.

Логарифмы Найти знач?
Логарифмы Найти знач.
Выраж.
При условии.

Логарифм 27 по основанию 5 разделить (на логарифм 3 по основанию 2 * на логарифм 4 по основанию 5)?
Логарифм 27 по основанию 5 разделить (на логарифм 3 по основанию 2 * на логарифм 4 по основанию 5).

Разность логарифма 24 по основанию 2, деленного на логарифм 2 по основанию 96, и логарифма 192 по основанию 2, деленного на логарифм 2 по основанию 12?
Разность логарифма 24 по основанию 2, деленного на логарифм 2 по основанию 96, и логарифма 192 по основанию 2, деленного на логарифм 2 по основанию 12.

Логарифм 9 по основанию 3 - логарифм 27 по основанию 9?
Логарифм 9 по основанию 3 - логарифм 27 по основанию 9.

Логарифмы ; ))))))))))))))))))?
Логарифмы ; )))))))))))))))))).

Логарифмы)))))))))))))))))))?
Логарифмы))))))))))))))))))).
Перед вами страница с вопросом Логарифмы Ниже будет условие?, который относится к категории Алгебра. Уровень сложности соответствует учебной программе для учащихся 10 - 11 классов. Здесь вы найдете не только правильный ответ, но и сможете ознакомиться с вариантами пользователей, а также обсудить тему и выбрать подходящую версию. Если среди найденных ответов не окажется варианта, полностью раскрывающего тему, воспользуйтесь «умным поиском», который откроет все похожие ответы, или создайте собственный вопрос, нажав кнопку в верхней части страницы.


ОДЗ 2 ^ (2x - 1)> ; 4⇒2x - 1> ; 2⇒2x> ; 3⇒x> ; 1, 5
4 ^ x> ; 8⇒2 ^ 2x> ; 8⇒2x> ; 3⇒x> ; 1, 5
x∈(1, 5 ; ∞)
$log(2)[(4^x-8)/2]*log(2)(4^x-8)=6$
$(log(2)(4^x-8)-1)*log(2)(4^x-8)=6$
$log(2)(4^x-8)=a$
(a - 1) * a - 6 = 0
a² - a - 6 = 0
a1 + a2 = 1 U a1 * a2 = - 6
a1 = - 2⇒log(2)(4 ^ x - 8) = - 2⇒4 ^ x - 8 = 1 / 4⇒4 ^ x = 8 1 / 4⇒x = log(4)33 - 1
a2 = 3⇒log(2)(4 ^ x - 8) = 3⇒4 ^ x - 8 = 8⇒4 ^ x = 16⇒x = 2.
Решение смотри во вложении.