Алгебра | 10 - 11 классы
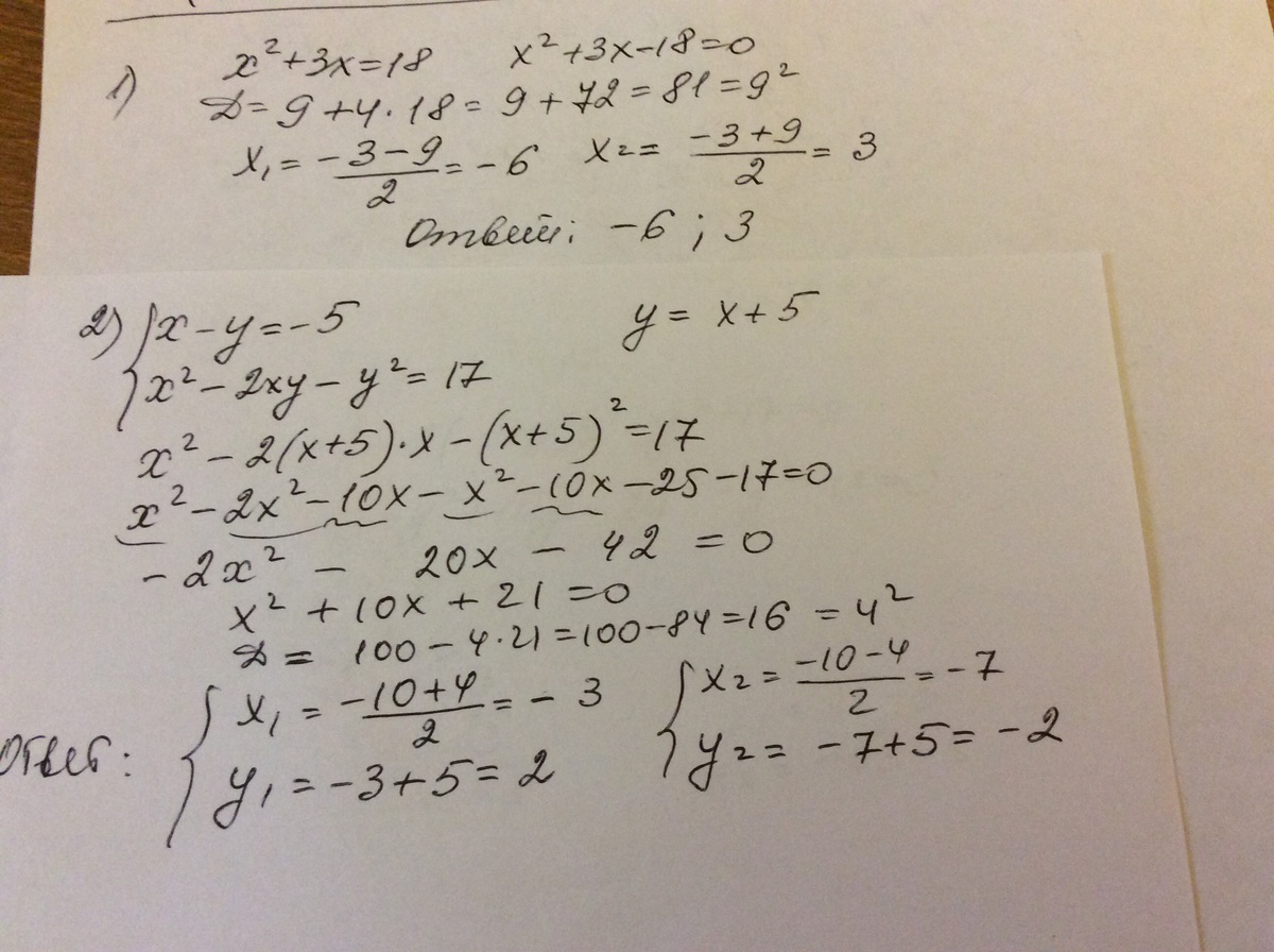
1 Найдите корни уравнения x ^ 2 + 3x = 18 .
Если корней несколько, запишите их через точку с запятой в порядке возрастания.
2 Решите систему уравнений.
X - y = - - 5 x ^ 2 - - 2xy - - y ^ 2 = 17.

Решите уравнение : Если корней несколько, запишите их ответ в порядке возрастания?
Решите уравнение : Если корней несколько, запишите их ответ в порядке возрастания.
( - 5x + 3)( - x + 6) = 0.

Найдите корни уравнений 5х в квадрате + 15х = 0 если корней несколько запишите ихьчерез точку с запятой в порядке возрастания?
Найдите корни уравнений 5х в квадрате + 15х = 0 если корней несколько запишите ихьчерез точку с запятой в порядке возрастания.

Решите уравнение 5х2 - 3х = 0 в ответ запишите , если корней несколько, разделяйте корни точкой с запятой?
Решите уравнение 5х2 - 3х = 0 в ответ запишите , если корней несколько, разделяйте корни точкой с запятой.

1)Найдите корни уравнения 2 - 3(2x + 2) = 5 - 4x Если корней несколько, запишите их через точку с запятой в порядке возрастания 2)Решите уравнение 5 - 2x = 11 - 7(x - 2) 3)Решите уравнение 10x + 9 = 7?
1)Найдите корни уравнения 2 - 3(2x + 2) = 5 - 4x Если корней несколько, запишите их через точку с запятой в порядке возрастания 2)Решите уравнение 5 - 2x = 11 - 7(x - 2) 3)Решите уравнение 10x + 9 = 7x 4)Решите уравнение 10(x - 9) = 7 5)Решите уравнение - 9(8 - 9x) = 4x + 5.

Решите уравнение 1 - 2(5 - 2x) = - x - 3 Если корней несколько, запишите их через точку с запятой в порядке возрастания?
Решите уравнение 1 - 2(5 - 2x) = - x - 3 Если корней несколько, запишите их через точку с запятой в порядке возрастания.

Найдите корни уравнения x ^ 2 + 8 = 9x?
Найдите корни уравнения x ^ 2 + 8 = 9x.
Если корней несколько, запишите их через точку с запятой в порядке возрастания.
Помогите пожалуйста, подобно, с дескриминантом).

Решите уравнение 8x2 − 12x + 4 = 0 Если корней несколько, запишите их через точку с запятой в порядке возрастания?
Решите уравнение 8x2 − 12x + 4 = 0 Если корней несколько, запишите их через точку с запятой в порядке возрастания.

Найдите корни уравнения 25х² - 1 = 0 Если корней несколько, запишите их через точку с запятой в порядке возрастания?
Найдите корни уравнения 25х² - 1 = 0 Если корней несколько, запишите их через точку с запятой в порядке возрастания.

Найдите корни уравнения х² - 4х - 21 = 0 если корней несколько запищите их через точку с запятой их в порядке возрастание?
Найдите корни уравнения х² - 4х - 21 = 0 если корней несколько запищите их через точку с запятой их в порядке возрастание.

Найдите корни уравнения х² - 4х - 21 = 0 если корней несколько запищите их через точку с запятой их в порядке возрастание РЕБЯТ И ВСЕ ТАКИ КАКОЕ РЕШЕНИЕ ПРАВИЛЬНО, ОДИН ПИШЕТ ТАК ДРУГОЙ ДРУГОЕ ПОМОГИТ?
Найдите корни уравнения х² - 4х - 21 = 0 если корней несколько запищите их через точку с запятой их в порядке возрастание РЕБЯТ И ВСЕ ТАКИ КАКОЕ РЕШЕНИЕ ПРАВИЛЬНО, ОДИН ПИШЕТ ТАК ДРУГОЙ ДРУГОЕ ПОМОГИТЕ.
На этой странице сайта, в категории Алгебра размещен ответ на вопрос 1 Найдите корни уравнения x ^ 2 + 3x = 18 ?. По уровню сложности вопрос рассчитан на учащихся 10 - 11 классов. Чтобы получить дополнительную информацию по интересующей теме, воспользуйтесь автоматическим поиском в этой же категории, чтобы ознакомиться с ответами на похожие вопросы. В верхней части страницы расположена кнопка, с помощью которой можно сформулировать новый вопрос, который наиболее полно отвечает критериям поиска. Удобный интерфейс позволяет обсудить интересующую тему с посетителями в комментариях.

Решение смотри в приложении.