Алгебра | 5 - 9 классы
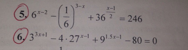
Помогите пожалуйста решить алгебру, на фото 2 примера, заранее огромное спасибо.

Помогите пожалуйста?
Помогите пожалуйста.
Решить примеры по алгебре, заранее спосибо!

Здравствуйте?
Здравствуйте!
: ) Помогите, пожалуйста, решить алгебру (11 класс).
Кто что знает и кто сколько может.
: )
Задания на фото.
Заранее, огромное спасибо!

Помогите пожалуйста решить пример по алгебре 8 класс?
Помогите пожалуйста решить пример по алгебре 8 класс.
Заранее спасибо.

Помогите пожалуйста , пример с корнями по алгебре 14?
Помогите пожалуйста , пример с корнями по алгебре 14.
87 . Вот фото.

Решите пожалуйста пример по алгебре 8 класс?
Решите пожалуйста пример по алгебре 8 класс!
См. Фото.

Алгебра 9 класс Примеры смотрите в фото?
Алгебра 9 класс Примеры смотрите в фото.

АЛГЕБРА?
АЛГЕБРА.
ПОМОГИТЕ ПОЖАЛУЙСТА РЕШИТЬ ЭТИ 3 ЗАДАНИЯ.
ЗАРАНЕЕ ОГРОМНОЕ СПАСИБО!

Пожалуйста решите упр3 только 2, 4 пример алгебра прошу примеры на фото?
Пожалуйста решите упр3 только 2, 4 пример алгебра прошу примеры на фото.

Здравствуйте ?
Здравствуйте !
Помогите , пожалуйста , решить квадратные уравнения по алгебре .
Примеры во вложении (4 примера ) .
Спасибо Вам огромное за помощь и внимание !
: ).

Помогите пожалуйста по алгебре?
Помогите пожалуйста по алгебре!
Заранее огромное спасибо!
Вы находитесь на странице вопроса Помогите пожалуйста решить алгебру, на фото 2 примера, заранее огромное спасибо? из категории Алгебра. Уровень сложности вопроса рассчитан на учащихся 5 - 9 классов. На странице можно узнать правильный ответ, сверить его со своим вариантом и обсудить возможные версии с другими пользователями сайта посредством обратной связи. Если ответ вызывает сомнения или покажется вам неполным, для проверки найдите ответы на аналогичные вопросы по теме в этой же категории, или создайте новый вопрос, используя ключевые слова: введите вопрос в поисковую строку, нажав кнопку в верхней части страницы.


Решение смотри в приложении.
5
6 ^ (x - 2) - 6 ^ (x - 3) + 6 ^ (x - 1) = 246
6 ^ (x - 3) * (6 - 1 + 36) = 246
6 ^ (x - 3) * 41 = 246
6 ^ (x - 3) = 246 : 41
6 ^ (x - 3) = 6
x - 3 = 1
x = 4
6
3 ^ (3x + 1) - 4 * 3 ^ (3x - 3) + 3 ^ (3x - 2) = 80
3 ^ (3x - 3) ^ (81 - 4 + 3) = 80
3 ^ (x - 3) * 80 = 80
3 ^ (3x - 3) = 1
3x - 3 = 0
3x = 3
x = 1.