
Помогите, построить график функции?
Помогите, построить график функции.

Помогите построить график функции пожалуйста?
Помогите построить график функции пожалуйста.

Помогите построить график функций ?
Помогите построить график функций :

Помогите ?
Помогите !
Исследовать функцию и построить график.

Пожалуйста помогите построить график функции?
Пожалуйста помогите построить график функции.

Помогите построить график функции?
Помогите построить график функции.

Помогите построить график функции?
Помогите построить график функции.

ПОСТРОИТЬ ГРАФИК ФУНКЦИИ помогите пожалуйста?
ПОСТРОИТЬ ГРАФИК ФУНКЦИИ помогите пожалуйста.

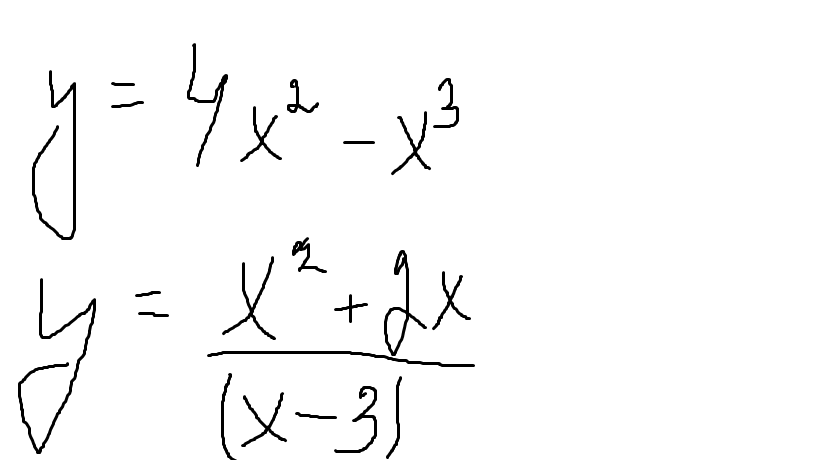
Помогите построить графики функций сдвигами?
Помогите построить графики функций сдвигами.

График функции построить помогите пожалуйста?
График функции построить помогите пожалуйста!
На этой странице вы найдете ответ на вопрос Помогите построить графики функций?. Вопрос соответствует категории Алгебра и уровню подготовки учащихся 10 - 11 классов классов. Если ответ полностью не удовлетворяет критериям поиска, ниже можно ознакомиться с вариантами ответов других посетителей страницы или обсудить с ними интересующую тему. Здесь также можно воспользоваться «умным поиском», который покажет аналогичные вопросы в этой категории. Если ни один из предложенных ответов не подходит, попробуйте самостоятельно сформулировать вопрос иначе, нажав кнопку вверху страницы.


Ты уверенна, что это графики?