
Помогите пожалуйста решить уравнение?
Помогите пожалуйста решить уравнение!

Помогите решить уравнение?
Помогите решить уравнение!
Пожалуйста!

Помогите пожалуйста решите уравнение?
Помогите пожалуйста решите уравнение.

Помогите пожалуйста решить уравнение ?
Помогите пожалуйста решить уравнение :

Помогите пожалуйста решить уравнения?
Помогите пожалуйста решить уравнения.

Помогите пожалуйста?
Помогите пожалуйста!
Решить уравнение!

Помогите решить уравнение пожалуйста?
Помогите решить уравнение пожалуйста.

Помогите пожалуйста решить уравнения?
Помогите пожалуйста решить уравнения.

Помогите, пожалуйста 1) Решите уравнение : ; 2) Решите уравнение ?
Помогите, пожалуйста 1) Решите уравнение : ; 2) Решите уравнение :

Всего два уравнения, помогите пожалуйста?
Всего два уравнения, помогите пожалуйста!
Решить уравнение через дискриминант.
На этой странице сайта, в категории Алгебра размещен ответ на вопрос Решить уравнение помогите мне пожалуйста?. По уровню сложности вопрос рассчитан на учащихся 5 - 9 классов. Чтобы получить дополнительную информацию по интересующей теме, воспользуйтесь автоматическим поиском в этой же категории, чтобы ознакомиться с ответами на похожие вопросы. В верхней части страницы расположена кнопка, с помощью которой можно сформулировать новый вопрос, который наиболее полно отвечает критериям поиска. Удобный интерфейс позволяет обсудить интересующую тему с посетителями в комментариях.


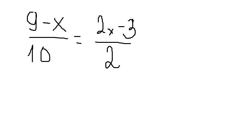
18 - 2x = 20x - 30
22x = 48
x = 48 / 22 = 24 / 11
x = 2целые 2 / 11.