
Решите(сгруппируйте)пожалуйста под буквой в)?
Решите(сгруппируйте)пожалуйста под буквой в).

Помогите решить под буквой в, пожалуйста?
Помогите решить под буквой в, пожалуйста!

Решите пожалуйста букву "А"?
Решите пожалуйста букву "А".

Решите пожалуйста букву А?
Решите пожалуйста букву А.

Решите пожалуйста под буквами в, г?
Решите пожалуйста под буквами в, г.

Решите пожалуйста три любых буквы?
Решите пожалуйста три любых буквы.

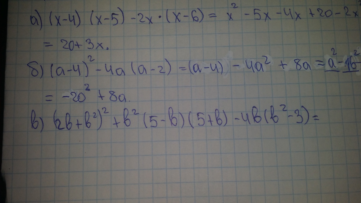
Решите пожалуйста) Под буквой В?
Решите пожалуйста) Под буквой В.

Под буквой в), решите пожалуйста?
Под буквой в), решите пожалуйста.

РЕШИТЕ ПОЖАЛУЙСТА ПОД БУКВОЙ В?
РЕШИТЕ ПОЖАЛУЙСТА ПОД БУКВОЙ В.
На этой странице сайта размещен вопрос Решите пожалуйста по буквой В? из категории Алгебра с правильным ответом на него. Уровень сложности вопроса соответствует знаниям учеников 10 - 11 классов. Здесь же находятся ответы по заданному поиску, которые вы найдете с помощью автоматической системы. Одновременно с ответом на ваш вопрос показаны другие, похожие варианты по заданной теме. На этой странице можно обсудить все варианты ответов с другими пользователями сайта и получить от них наиболее полную подсказку.



4b² + 4b³ + b ^ 4 + 25b² - b ^ 4 - 4b³ + 12b = 29b² + 12b.