Алгебра | 10 - 11 классы
Исследовать функцию, построить график, исследовать на выпуклость и перегиб.

Помогите срочно решить ))исследовать и построить график функции * _ *?
Помогите срочно решить ))исследовать и построить график функции * _ *.

Исследовать функцию методом дифференциального исчисления и построить график?
Исследовать функцию методом дифференциального исчисления и построить график.
Найти интервалы возрастания и убывания и точки экстремума.
Интервалы выпуклости и вогнутости и точки перегиба графика функции y = x ^ 3 - 3x + 1 Или решите этот пример : Исследовать функцию и построить график y = 2x / x ^ 2 + 4.

Исследовать функцию y = - 4x + 5 и построить график?
Исследовать функцию y = - 4x + 5 и построить график.

Помогите дорешать очень нужно Исследовать функцию и построить график?
Помогите дорешать очень нужно Исследовать функцию и построить график.

Исследовать функцю и построить ее график : x³ - 3x² + 7?
Исследовать функцю и построить ее график : x³ - 3x² + 7.

Помогите ?
Помогите !
Исследовать функцию и построить график.

Исследовать и построить график функции y = x ^ 3?
Исследовать и построить график функции y = x ^ 3.

Исследовать функцию и построить её график?
Исследовать функцию и построить её график.

Исследовать функцию, построить график ?
Исследовать функцию, построить график :

Y = - 2x ^ 2 + 3x исследовать функцию и построить график?
Y = - 2x ^ 2 + 3x исследовать функцию и построить график.
Перед вами страница с вопросом Исследовать функцию, построить график, исследовать на выпуклость и перегиб?, который относится к категории Алгебра. Уровень сложности соответствует учебной программе для учащихся 10 - 11 классов. Здесь вы найдете не только правильный ответ, но и сможете ознакомиться с вариантами пользователей, а также обсудить тему и выбрать подходящую версию. Если среди найденных ответов не окажется варианта, полностью раскрывающего тему, воспользуйтесь «умным поиском», который откроет все похожие ответы, или создайте собственный вопрос, нажав кнопку в верхней части страницы.


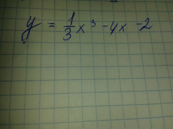
Y = 1 / 3 * x³ - 4x - 2
D(y)∈( - ∞ ; ∞)
y( - x) = - 1 / 3 * x³ + 4x - 2 ни четная и ни нечетная
точка пересечения с осями (0 ; - 2)
y` = x² - 4 = 0
x = - 2 x = 2 + _ + - - - - - - - - - - - - - ( - 2) - - - - - - - - - - - - - - - - - - (2) - - - - - - - - - - - - - - - - - - - -
возр max убыв min возр
ymax = 1 / 3 * ( - 8) - 4 * ( - 2) - 2 = 3 1 / 3
ymin = 8 / 3 - 8 - 2 = - 7 2 / 3
y`` = 2x = 0
x = 0 - + - - - - - - - - - - - - - - - - - - (0) - - - - - - - - - - - - - - - - - - - -
выпук вверх вогн вниз
у(0) = - 2
(0 ; - 2) точка перегиба.