
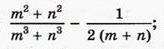
Упростите выражение в прикрепленном файле (нужно подробное решение, а не сокращенное с готовым ответом, как дано в файле)?
Упростите выражение в прикрепленном файле (нужно подробное решение, а не сокращенное с готовым ответом, как дано в файле).

Помогите вычислить выражение в файле Спс?
Помогите вычислить выражение в файле Спс.

Упростите выражение выражение в вкладках ↓?
Упростите выражение выражение в вкладках ↓.

Найдите значение выражения и прикрепите пожалуйста решение на листочке?
Найдите значение выражения и прикрепите пожалуйста решение на листочке.

Упростите выражения Упростите выражения Упростите выражения?
Упростите выражения Упростите выражения Упростите выражения.

Упростите выражение?
Упростите выражение.
(выражение во вложениях).

Упростить выражениеупрастить выражение?
Упростить выражение
упрастить выражение.

Упростите выражениеупростите выражение?
Упростите выражение
упростите выражение.
Если вам необходимо получить ответ на вопрос Упростите выражение (Выражение прикрепил файлом)?, относящийся к уровню подготовки учащихся 5 - 9 классов, вы открыли нужную страницу. В категории Алгебра вы также найдете ответы на похожие вопросы по интересующей теме, с помощью автоматического «умного» поиска. Если после ознакомления со всеми вариантами ответа у вас остались сомнения, или полученная информация не полностью освещает тематику, создайте свой вопрос с помощью кнопки, которая находится вверху страницы, или обсудите вопрос с посетителями этой страницы.



Примерно так.
Возможно где - то допущена ошибка.