
Преобразуйте в дробь выражения х + 2 \ х 3 - х - 1 \ х?
Преобразуйте в дробь выражения х + 2 \ х 3 - х - 1 \ х.

Алгебра 8 класс?
Алгебра 8 класс.
Преобразуйте в дробь выражения.
Никак не могу сделать(( объясните пожалуйста как это делать.

Преобразуйте в дробь выражение?
Преобразуйте в дробь выражение.
Алгебра 8 КЛАСС!

Пожалуйста преобразуйте в дробь выражения?
Пожалуйста преобразуйте в дробь выражения.

3)Преобразуйте в дробь выражение :а)ab - 1 - ba - 1?
3)Преобразуйте в дробь выражение :
а)ab - 1 - ba - 1.

Преобразуйте выражение в дробь : a - ab / b помогите пожалуйста?
Преобразуйте выражение в дробь : a - ab / b помогите пожалуйста.

Преобразуйте заданные выражения в дробь ?
Преобразуйте заданные выражения в дробь :

Тригонометрия 10 класс?
Тригонометрия 10 класс.
Преобразуйте выражение.

Преобразуйте в дроби выражения?
Преобразуйте в дроби выражения.

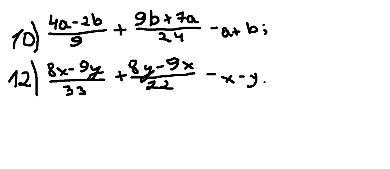
Преобразуйте в дробь выражения?
Преобразуйте в дробь выражения.
Полное решение , пожалуйста.
Если сможете, то объясните, как решать.
Если вам необходимо получить ответ на вопрос Преобразуйте в дробь выражение : 8класс?, относящийся к уровню подготовки учащихся 5 - 9 классов, вы открыли нужную страницу. В категории Алгебра вы также найдете ответы на похожие вопросы по интересующей теме, с помощью автоматического «умного» поиска. Если после ознакомления со всеми вариантами ответа у вас остались сомнения, или полученная информация не полностью освещает тематику, создайте свой вопрос с помощью кнопки, которая находится вверху страницы, или обсудите вопрос с посетителями этой страницы.


Я думаю , что выражение будет 8 к 5.