
{5y−3x = −5{ 5y + x = 2 Реши методом алгебраического сложения систему уравнений?
{5y−3x = −5
{ 5y + x = 2 Реши методом алгебраического сложения систему уравнений.

Решите систему уровнений методом алгебраического сложения 3x + 4y = - 1 2x - 5y = 7?
Решите систему уровнений методом алгебраического сложения 3x + 4y = - 1 2x - 5y = 7
.

Даю 20 баллов?
Даю 20 баллов!
Решить систему уравнений методом алгебраического сложения
3х - 2у = 3
3х + 8у = - 27.

Решите методом системы :х² - 8х + 7> ; 0?
Решите методом системы :
х² - 8х + 7> ; 0.

Решите методом алгебраического сложениясрочно?
Решите методом алгебраического сложения
срочно.

Решите системы рациональных уравнений методом подстановки?
Решите системы рациональных уравнений методом подстановки.

Реши систему уравнений методом алгебраического сложения?
Реши систему уравнений методом алгебраического сложения.

Каким нейтральным элементом обладает алгебраическая система , где aob = ab / 2?
Каким нейтральным элементом обладает алгебраическая система , где aob = ab / 2.

Помогите решить системы уравнений методом подстановки очень срочно?
Помогите решить системы уравнений методом подстановки очень срочно.

Решите систему уравнений методом алгебраического сложения, пожалуйста1)3x + 2y = 135x - 2y = 11?
Решите систему уравнений методом алгебраического сложения, пожалуйста
1)3x + 2y = 13
5x - 2y = 11.
На этой странице находится вопрос Решить системы методом алгебраического сложения?, относящийся к категории Алгебра. По уровню сложности данный вопрос соответствует знаниям учащихся 5 - 9 классов. Здесь вы найдете правильный ответ, сможете обсудить и сверить свой вариант ответа с мнениями пользователями сайта. С помощью автоматического поиска на этой же странице можно найти похожие вопросы и ответы на них в категории Алгебра. Если ответы вызывают сомнение, сформулируйте вопрос иначе. Для этого нажмите кнопку вверху.




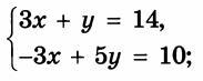
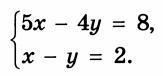
$1)~~~+\displaystyle \left \{ {{x+y=11} \atop {2x-y=-5}} \right. \\----------\\3x=6~;~x=6:3=2.\\\\2+y=11~;~y=11-2=9~~\Rightarrow OTVET~:~(2~;~9).\\\\\\\\2)~~~~+\left \{ {{3x+y=14} \atop {-3x+5y=10}} \right.\\---------------\\6y=24~;~y=24:6=4.\\\\3x+4=14~;~3x=14-4~;~3x=10~;~x=\frac{10}{3} =3\frac{1}{3} ~~~\Rightarrow~~OTVET~:~(3\frac{1}{3} ~;~4).\\\\\\3)~~~~\left \{ {{5x-4y=8} \atop {x-y=2~~~|*(-5)}} \right. \\\\+\left \{ {{5x-4y=8} \atop {-5x+5y=-10}} \right. \\----------\\y=-2.\\\\$$5x-4*(-2)=8;\\5x+8=8;\\5x=8-8;\\5x=0~~~|:5;\\x=0~~~\Rightarrow~~OTVET~:~(0~;~-2).$.