На этой странице находится вопрос Помогите?, относящийся к категории Алгебра. По уровню сложности данный вопрос соответствует знаниям учащихся 5 - 9 классов. Здесь вы найдете правильный ответ, сможете обсудить и сверить свой вариант ответа с мнениями пользователями сайта. С помощью автоматического поиска на этой же странице можно найти похожие вопросы и ответы на них в категории Алгебра. Если ответы вызывают сомнение, сформулируйте вопрос иначе. Для этого нажмите кнопку вверху.


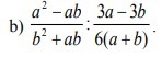
$\frac{a^{2}-ab}{b^{2}+ab}:\frac{3a-3b}{6(a+b)}=\frac{a(a-b)}{b(b+a)}* \frac{6(a+b)}{3(a-b)}= \frac{6a}{3b}= \frac{2a}{b}$.