Алгебра | студенческий
Питання 8
немає відповіді
РОЗПИСАТИ!
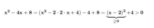
Доведіть, що вираз набуває додатних значень при будь - яких значеннях х.
X² - 4x + 8.

Якого найменшого значення та при якому значенні набуває вираз 64x² - 32x + 15?
Якого найменшого значення та при якому значенні набуває вираз 64x² - 32x + 15.

При яких натуральних значеннях а вираз (3a + 18) / (3a) вираз набуває цілих значень?
При яких натуральних значеннях а вираз (3a + 18) / (3a) вираз набуває цілих значень?
.

Побудувати графік функції у = 4х – 1?
Побудувати графік функції у = 4х – 1.
Користуючись графіком знайти :
а) значення аргументу, якщо функція дорівнєю 3 ;
б) значення функції, якщо значення аргументу дорівнює – 1 ;
в)координати точок перетину графіка з осями координат ;
г) при якому значенні аргументу функція набуває додатного з.

Знайдіть значення аргументу , при якому функція y = 2x - 5 набуває значення , яке дорівнює 3?
Знайдіть значення аргументу , при якому функція y = 2x - 5 набуває значення , яке дорівнює 3.

Укажи, чи залежить значення виразу від значення змінної aЯк ви дізналися?
Укажи, чи залежить значення виразу від значення змінної a
Як ви дізналися?
.

До якого значення змінної а значення виразу 5а - 8 дорівнює - 13?
До якого значення змінної а значення виразу 5а - 8 дорівнює - 13?
.

Доведіть, що при будь - якому натуральному n значення виразу(9n + 10)2 - (9n + 8)2 ділиться націло на 36?
Доведіть, що при будь - якому натуральному n значення виразу
(9n + 10)2 - (9n + 8)2 ділиться націло на 36.

! СРОЧНО?
! СРОЧНО!
Знайдіть найменше значення виразу :
а)x ^ 2 - 6x + 9 ; 2)x ^ 2 - 6x + 12 .
При яких значеннях х вираз набуває найменшого значення?

( буду дуже вдячна)Знайдіть область допустимих значень виразу ( одз ) : ?
( буду дуже вдячна)Знайдіть область допустимих значень виразу ( одз ) : .

При яких значеннях змінної має значення вираз 7 х + 8?
При яких значеннях змінної має значення вираз 7 х + 8.
Если вам необходимо получить ответ на вопрос Питання 8немає відповідіРОЗПИСАТИ?, относящийся к уровню подготовки учащихся студенческий, вы открыли нужную страницу. В категории Алгебра вы также найдете ответы на похожие вопросы по интересующей теме, с помощью автоматического «умного» поиска. Если после ознакомления со всеми вариантами ответа у вас остались сомнения, или полученная информация не полностью освещает тематику, создайте свой вопрос с помощью кнопки, которая находится вверху страницы, или обсудите вопрос с посетителями этой страницы.

Решение.
Выделим полный квадратиз квадратного трёхчлена.
$\bf x^2-4x+8=(x^2-2\cdot 2\cdot x+4)-4+8=\underbrace{\bf (x-2)^2}_{\geq 0}+4 > 0$   ;
Получили сумму неотрицательного полного квадрата и положительного числа 4 .
Такая сумма будет принимать только положительные значения при любых значениях   ; х   ; .