
Знайдіть похідну функції y = 3cos x - x ^ 5 + 2?
Знайдіть похідну функції y = 3cos x - x ^ 5 + 2.

Укажіть похідну функції f(x), якщо f(x) = x ^ 4 × sin3x?
Укажіть похідну функції f(x), якщо f(x) = x ^ 4 × sin3x.

Знайти похідну функції F(x) = 3х ^ 2?
Знайти похідну функції F(x) = 3х ^ 2.

Знайдіть похідну функції y = cos x + sin x?
Знайдіть похідну функції y = cos x + sin x.

Знайдіть похідну функції y = 3x + 2?
Знайдіть похідну функції y = 3x + 2.

Знайдіть похідну функції : у = (2 - 2x)sinx?
Знайдіть похідну функції : у = (2 - 2x)sinx.

Знайдіть похідну функції f(x) = 1 / 3x ^ 9 - 9?
Знайдіть похідну функції f(x) = 1 / 3x ^ 9 - 9.

Знайдіть похідну функції f (х) = х ² - 2 / х , якщо х0 = 2?
Знайдіть похідну функції f (х) = х ² - 2 / х , якщо х0 = 2.

Знайти похідну функції 20 б?
Знайти похідну функції 20 б.
.

Знайдіть похідну функції?
Знайдіть похідну функції.
Перед вами страница с вопросом Знайти похідну функції ?, который относится к категории Алгебра. Уровень сложности соответствует учебной программе для учащихся студенческий. Здесь вы найдете не только правильный ответ, но и сможете ознакомиться с вариантами пользователей, а также обсудить тему и выбрать подходящую версию. Если среди найденных ответов не окажется варианта, полностью раскрывающего тему, воспользуйтесь «умным поиском», который откроет все похожие ответы, или создайте собственный вопрос, нажав кнопку в верхней части страницы.


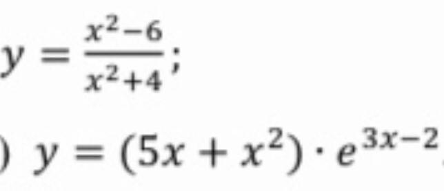
Ответ :
$1)\ \ y=\dfrac{x^2-6}{x^2+4}=1-\dfrac{10}{x^2+4}\\\\\\y'=-\dfrac{-10\cdot 2x}{(x^2+4)^2}=\dfrac{20x}{(x^2+4)^2}\\\\\\\\2)\ \ y=(5x+x^2)\cdot e^{3x-2}\\\\\\y'=(5+2x)\cdot e^{3x-2}+(5x+x^2)\cdot 3e^{3x-2}$.