Алгебра | 5 - 9 классы
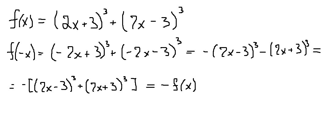
2. Является ли четной или нечетной функция f (x) = (2x + 3) ^ 3 + (2x - 3) ^ 3.

математика помогите
нужно решить график и написать четный нечетный ни четный ни ничетный y=x/2*sin^2x

Дана функция y = x36 ?
Дана функция y = x36 .
Общий вид данной функции : y = x2n + 1 y = x2n
Выбери верное свойство данной функции : нечётная D(f) = (−∞ ; 0] D(f) = (−∞ ; + ∞).

Где четная , где нечетная?
Где четная , где нечетная?
Помогите пожалуйста.

y = \ sqrt{4 - x} - 3определите область допустимых значений и четность / нечетность функции?
$y = \ sqrt{4 - x} - 3$
определите область допустимых значений и четность / нечетность функции.

Областью определения какой функции является промежуток ( - бесконечность ; 7)?
Областью определения какой функции является промежуток ( - бесконечность ; 7).

Докажите что функция является возрастающей y = x⁵ + x?
Докажите что функция является возрастающей y = x⁵ + x.

21. Найти функцию, которая является ни четнойи ни нечетной?
21. Найти функцию, которая является ни четной
и ни нечетной.
А) y = x
C) y = |x|
В) y = [x]
D) y = = х ^ 2.

Срочно найти нули функции и определить четность и нечетность?
Срочно найти нули функции и определить четность и нечетность.

Помогите пожалуйста с алгебройТема функции четные и нечётные?
Помогите пожалуйста с алгеброй
Тема функции четные и нечётные.

На единичной окружности укажите точки которые демонстрируют нечетность функции y = sinx?
На единичной окружности укажите точки которые демонстрируют нечетность функции y = sinx.
Перед вами страница с вопросом 2. Является ли четной или нечетной функция f (x) = (2x + 3) ^ 3 + (2x - 3) ^ 3?, который относится к категории Алгебра. Уровень сложности соответствует учебной программе для учащихся 5 - 9 классов. Здесь вы найдете не только правильный ответ, но и сможете ознакомиться с вариантами пользователей, а также обсудить тему и выбрать подходящую версию. Если среди найденных ответов не окажется варианта, полностью раскрывающего тему, воспользуйтесь «умным поиском», который откроет все похожие ответы, или создайте собственный вопрос, нажав кнопку в верхней части страницы.

Ответнечётная
________.