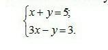
Алгебра | 5 - 9 классы
Решите систему уравнений графическим способом :
ТОЛЬКО графическим, пожалуйста.
.

Помогите пожалуйста, срочно Решите систему уравнений графическим способом :у = - х2х + у = 2?
Помогите пожалуйста, срочно Решите систему уравнений графическим способом :
у = - х
2х + у = 2.

2. 5 (2)Решите графическим способом систему уравнений?
2. 5 (2)
Решите графическим способом систему уравнений.
Срочноооо!
.

Помогите пожалуйста решить графически систему уравнений?
Помогите пожалуйста решить графически систему уравнений.

Решите систему уравнений графическим способом ( у = х2 (2х + у = 3?
Решите систему уравнений графическим способом ( у = х2 (2х + у = 3.

Решить систему уравнений графическим способому = 2х + 2у = 3х?
Решить систему уравнений графическим способом
у = 2х + 2
у = 3х.

Решите систему уравнений графическим способом :ПЕППЕР ПОМОГИ ПЖ ПОСЛЕДНИЙ РАЗ?
Решите систему уравнений графическим способом :
ПЕППЕР ПОМОГИ ПЖ ПОСЛЕДНИЙ РАЗ!
.

3. Решите систему уравнений графическим способом :2х + у = 82х - у = 1Помогите пожалуйста ?
3. Решите систему уравнений графическим способом :
2х + у = 8
2х - у = 1
Помогите пожалуйста .

Решите систему уравнений графическим способом?
Решите систему уравнений графическим способом.
Только графическим!
.

Решите систему уравнений графическим способом у = 2х + 3 у = х + 4?
Решите систему уравнений графическим способом у = 2х + 3 у = х + 4.

Решите систему уравнений графическим способом, ПОЖАЛУЙСТА СРОЧНО НАДО?
Решите систему уравнений графическим способом, ПОЖАЛУЙСТА СРОЧНО НАДО.
На странице вопроса Решите систему уравнений графическим способом :ТОЛЬКО графическим, пожалуйста? из категории Алгебра вы найдете ответ для уровня учащихся 5 - 9 классов. Если полученный ответ не устраивает и нужно расшить круг поиска, используйте удобную поисковую систему сайта. Можно также ознакомиться с похожими вопросами и ответами других пользователей в этой же категории или создать новый вопрос. Возможно, вам будет полезной информация, оставленная пользователями в комментариях, где можно обсудить тему с помощью обратной связи.


Ответ :
М(2 ;   ; 3)
Объяснение : у = 5 - х ;   ;   ;   ; х = 0   ; у = 5 ;   ; х = 5   ; у = 0 у = 3х - 3 ;   ;   ; х = 0   ; у = - 3 ;   ; х = 2   ; у = 3.