
Пожалуйста решите примеры, если можно, с подробным решением, , ?
Пожалуйста решите примеры, если можно, с подробным решением, , .

Решите пример, подробно ?
Решите пример, подробно :

Желательно с подробным решением?
Желательно с подробным решением!

Решите пример на фото?
Решите пример на фото.
Подробное решение, а не сразу ответ.
Даю 20 баллов.

С подробным решением пожалуйста?
С подробным решением пожалуйста.

Решите подробно пж?
Решите подробно пж.
Мне просто надо подробное решение этой системы.
.

ЗДРАВСТВУЙТЕ?
ЗДРАВСТВУЙТЕ!
ПОМОГИТЕ РЕШИТЬ ПРИМЕР ПОДРОБНО С РЕШЕНИЕМ.
ЗАРАНЕЕ СПАСИБО.

На фото формулы интегралов и уже указаны правильные ответы, помогите с подробным решением трёх примеров ?
На фото формулы интегралов и уже указаны правильные ответы, помогите с подробным решением трёх примеров .
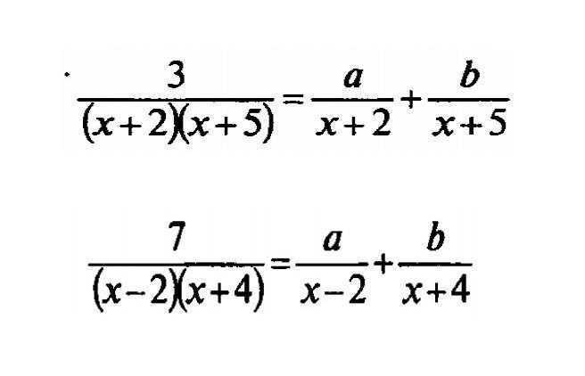
Вы зашли на страницу вопроса РЕШИТЕ ПРИМЕРЫ С ДРОБЯМИ?, который относится к категории Алгебра. По уровню сложности вопрос соответствует учебной программе для учащихся 5 - 9 классов. В этой же категории вы найдете ответ и на другие, похожие вопросы по теме, найти который можно с помощью автоматической системы «умный поиск». Интересную информацию можно найти в комментариях-ответах пользователей, с которыми есть обратная связь для обсуждения темы. Если предложенные варианты ответов не удовлетворяют, создайте свой вариант запроса в верхней строке.


Ответ :
1.
(a ; b) = (1 ; - 1), 2.
(a ; b) = ( $\frac{7}{6}$ ; $-\frac{7}{6}$ ).
Объяснение : на фото
Я решал методом неопределённых коэффициентов.