
Вкладник поклав у банк х грн під р % річних?
Вкладник поклав у банк х грн під р % річних.
Після закінчення року він забирає прибуток.
Побудуйте математичну модель і створіть проект для визначення, який прибуток отримає вкладник через 3 роки.
ПОЖАЛУЙСТА
Просто нужно написать формулу.

Сума двох чисел дорівнює 45?
Сума двох чисел дорівнює 45.
Знайдіть ці числа, якщо 80% від одного числа на 12
більше за 40% від іншого.
Плиииз надо до 19 : 00.

Знайдіть відстань від точки В ( - 5, 8) до осі абсцис?
Знайдіть відстань від точки В ( - 5, 8) до осі абсцис.

Звільніться від ірраціональності в знаменнику дробу 7 / 5 - 2√6?
Звільніться від ірраціональності в знаменнику дробу 7 / 5 - 2√6.

Укажи, чи залежить значення виразу від значення змінної aЯк ви дізналися?
Укажи, чи залежить значення виразу від значення змінної a
Як ви дізналися?
.

Розв’яжіть задачу :Чисельник дробу на 5 менший від знаменника?
Розв’яжіть задачу :
Чисельник дробу на 5 менший від знаменника.
Якщо до чисельника додати 11, а
від знаменника відняти 2, то вийде дріб, обернений до даного.
Знайдіть даний дріб.

Знайти частку від ділення будь ласка ?
Знайти частку від ділення будь ласка .

Розглянь графіки залежності пройденого тілом шляху від часу?
Розглянь графіки залежності пройденого тілом шляху від часу.
Обери правильне
співвідношення
.

ДОПОМОЖІТЬ Звільніться від ірраціональності в знаменнику дробу ?
ДОПОМОЖІТЬ Звільніться від ірраціональності в знаменнику дробу :

Звільніть від ірраціональності в знаменнику дробу 4 / √3 - 1?
Звільніть від ірраціональності в знаменнику дробу 4 / √3 - 1.
Вы находитесь на странице вопроса Рятуйте знедолену дитину від математичного згвалтування? из категории Алгебра. Уровень сложности вопроса рассчитан на учащихся 5 - 9 классов. На странице можно узнать правильный ответ, сверить его со своим вариантом и обсудить возможные версии с другими пользователями сайта посредством обратной связи. Если ответ вызывает сомнения или покажется вам неполным, для проверки найдите ответы на аналогичные вопросы по теме в этой же категории, или создайте новый вопрос, используя ключевые слова: введите вопрос в поисковую строку, нажав кнопку в верхней части страницы.


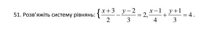
$\displaystyle\bf\\\left \{ {{\dfrac{x+3}{2} -\dfrac{y-2}{3}=2 } \atop {\dfrac{x-1}{4} +\dfrac{y+1}{3} =4}} \right. \\\\\\\left \{ {{\dfrac{x+3}{2} \cdot 6-\dfrac{y-2}{3}\cdot 6=2\cdot 6 } \atop {\dfrac{x-1}{4} \cdot 12+\dfrac{y+1}{3} \cdot 12=4\cdot 12}} \right.\\\\\\\left \{ {{(x+3)\cdot 3-(y-2)\cdot 2=12} \atop {(x-1)\cdot 3+(y+1)\cdot 4=48}} \right. \\\\\\\left \{ {{3x+9-2y+4=12} \atop {3x-3+4y+4=48}} \right.\\\\\\\left \{ {{3x-2y=12-9-4} \atop {3x+4y=48+3-4}} \right.$
$\displaystyle\bf\\\left \{ {{3x-2y=-1} \ |\cdot 2\atop {3x+4y=47}} \right.\\\\\\+\left \{ {{6x-4y=-2} \atop {3x+4y=47}} \right. \\----------\\9x=45\\\\x=45:9=5\\\\2y=3x+1=3\cdot 5+1=15+1=16\\\\y=16:2=8\\\\Otvet \ : \ \Big(5 \ : \ 8\Big)$.