
Помогите, пожалуйста, задание на фото?
Помогите, пожалуйста, задание на фото.

Задание на фото, помогите пожалуйста?
Задание на фото, помогите пожалуйста.

Помогите пожалуйста задание на фото СРОЧНО?
Помогите пожалуйста задание на фото СРОЧНО!

Помогите пожалуйста, задание на фото?
Помогите пожалуйста, задание на фото.

Помогите пожалуйста (задание на фото)?
Помогите пожалуйста (задание на фото).

Помогите пожалуйста, на фото решить два задания?
Помогите пожалуйста, на фото решить два задания.

СРОЧНО?
СРОЧНО!
Помогите пожалуйста, задание в фото.

Помогите пожалуйста срочно?
Помогите пожалуйста срочно!
Задание прикрепил на фото.
.

Помогите пожалуйста, задание на фото?
Помогите пожалуйста, задание на фото.
.

1) задание на фото2) задание на фото3) задание на фото?
1) задание на фото
2) задание на фото
3) задание на фото.
На этой странице сайта вы найдете ответы на вопрос СРОЧНООО ЗАДАНИЕ НА ФОТО ПОЖАЛУЙСТА?, относящийся к категории Алгебра. Сложность вопроса соответствует базовым знаниям учеников 5 - 9 классов. Для получения дополнительной информации найдите другие вопросы, относящимися к данной тематике, с помощью поисковой системы. Или сформулируйте новый вопрос: нажмите кнопку вверху страницы, и задайте нужный запрос с помощью ключевых слов, отвечающих вашим критериям. Общайтесь с посетителями страницы, обсуждайте тему. Возможно, их ответы помогут найти нужную информацию.


Ответ 1, пошаговые действия на фото.
Если нужно срочно, скачай photomath, поможет).
Ответ :
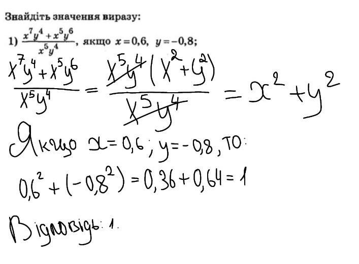
Значення виразу буде 1.