
Решить систему неравенства?
Решить систему неравенства.

Решите систему неравенств : ?
Решите систему неравенств : .

Решите с объяснением эти неравенства?
Решите с объяснением эти неравенства.

Помогите решить неравенства?
Помогите решить неравенства.

Помогите решить неравенства?
Помогите решить неравенства.

Решите систему неравенств ?
Решите систему неравенств .

Решите логарифмическое неравенство?
Решите логарифмическое неравенство.

Помогите решить неравенство?
Помогите решить неравенство.
На этой странице находится ответ на вопрос Решите неравенство решите неравенство?, из категории Алгебра, соответствующий программе для студенческий. Чтобы посмотреть другие ответы воспользуйтесь «умным поиском»: с помощью ключевых слов подберите похожие вопросы и ответы в категории Алгебра. Ответ, полностью соответствующий критериям вашего поиска, можно найти с помощью простого интерфейса: нажмите кнопку вверху страницы и сформулируйте вопрос иначе. Обратите внимание на варианты ответов других пользователей, которые можно не только просмотреть, но и прокомментировать.




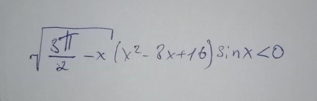
Ответ :
$\sqrt{\dfrac{3\pi}{2}-x}\cdot (x^2-8x+16)\cdot sinx<0\\\\\\\sqrt{\dfrac{3\pi}{2}-x}\, \cdot (x-4)^2\cdot sinx<0$
Первые два множителя неотрицательные, но так как неравенство строгое, то они не должны равняться нулю.
$\dfrac{3\pi}{2}-x>0\ \ \ \to \ \ x<\dfrac{3\pi }{2}\\\\(x-4)^2\ne 0\ \ \to \ \ \ x\ne 4$
Знак неравенства зависит от sinx , который отрицателен в 3 и 4 четвертях :
$sinx<0\ \ \ \to \ \ \pi +2\pi n
Но так как   ; $x<\dfrac{3\pi }{2}$   ; и   ; $x\ne 4\ \ \ (4\ rad\approx 229,2^\circ )$ ,   ; то   ; $x\in \Big(-\pi -2\pi n;-\dfrac{\pi }{2}-2\pi n\Big)\cup \Big(\ \pi \ ;\ 4\ \Big)\cup \Big(\ 4\ ;\ \dfrac{3\pi }{2}\ \Big)\ ,\ n=0,1,2,3,...$.