
Преобразуйте в в многочлен стандартного вида?
Преобразуйте в в многочлен стандартного вида.

Запишите число 34280000 в стандартном виде?
Запишите число 34280000 в стандартном виде.

Записать число в стандартном виде 0, 000098?
Записать число в стандартном виде 0, 000098.

Приведите одночлен к стандартному виду : ?
Приведите одночлен к стандартному виду : .

Представьте многочлен в стандартном виде?
Представьте многочлен в стандартном виде.
Помагите пожалуйста.

Преобразуйте многочлен в одночлен стандартного видаSos?
Преобразуйте многочлен в одночлен стандартного вида
Sos.

Запишите многочлен в стандартном виде?
Запишите многочлен в стандартном виде.

Помогите привести многочлены к стандартному виду?
Помогите привести многочлены к стандартному виду.

Представьте в стандартном виде и назовите степени многочленов ?
Представьте в стандартном виде и назовите степени многочленов .

Многочлен к стандартному виду?
Многочлен к стандартному виду.
На этой странице сайта размещен вопрос Представьте в стандартном виде ? из категории Алгебра с правильным ответом на него. Уровень сложности вопроса соответствует знаниям учеников 5 - 9 классов. Здесь же находятся ответы по заданному поиску, которые вы найдете с помощью автоматической системы. Одновременно с ответом на ваш вопрос показаны другие, похожие варианты по заданной теме. На этой странице можно обсудить все варианты ответов с другими пользователями сайта и получить от них наиболее полную подсказку.


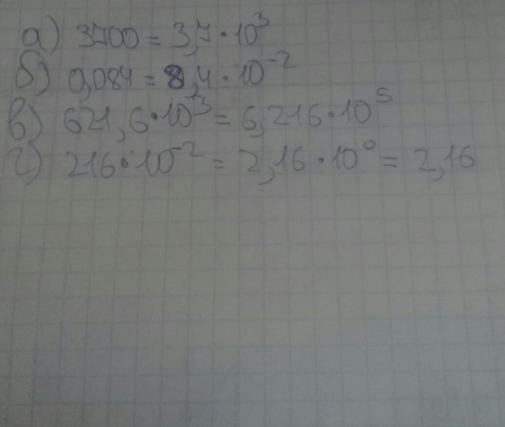
Решение смотри на фото.