
Допоможіть будь ласка?
Допоможіть будь ласка.

Допоможіть будь ласка?
Допоможіть будь ласка.

Поможіть розвязатиБудь ласка?
Поможіть розвязати
Будь ласка.

Допоможіть будь ласка з нерівностями 20 б будь ласка розпишіть все?
Допоможіть будь ласка з нерівностями 20 б будь ласка розпишіть все.

Допоможіть будь ласка срочноСрок здачі сьогодні?
Допоможіть будь ласка срочно
Срок здачі сьогодні!
Будь ласка.
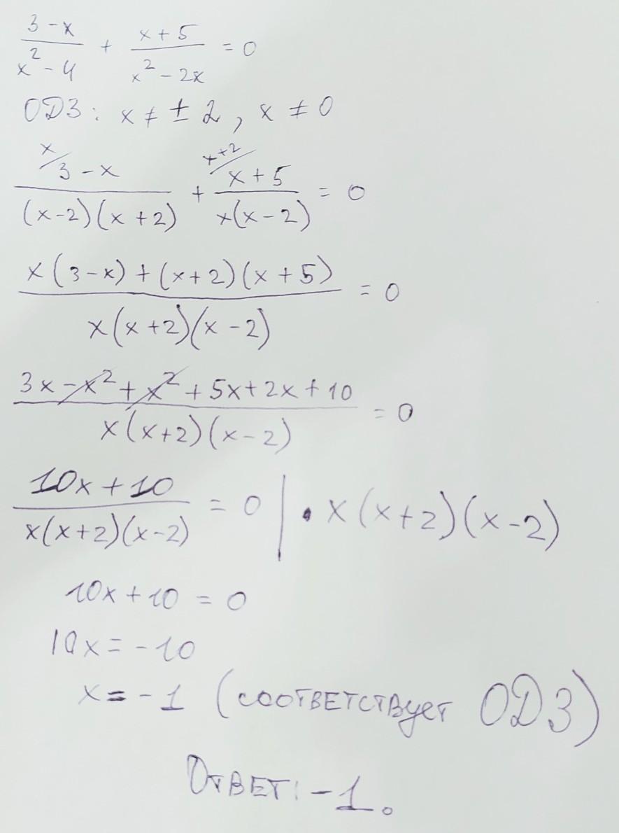
На этой странице сайта вы найдете ответы на вопрос Допоможіть будь ласка розв'язати рівняння?, относящийся к категории Алгебра. Сложность вопроса соответствует базовым знаниям учеников студенческий. Для получения дополнительной информации найдите другие вопросы, относящимися к данной тематике, с помощью поисковой системы. Или сформулируйте новый вопрос: нажмите кнопку вверху страницы, и задайте нужный запрос с помощью ключевых слов, отвечающих вашим критериям. Общайтесь с посетителями страницы, обсуждайте тему. Возможно, их ответы помогут найти нужную информацию.





/ / / / / / / / / / / / / / / / / / / / / / /.