Алгебра | 5 - 9 классы
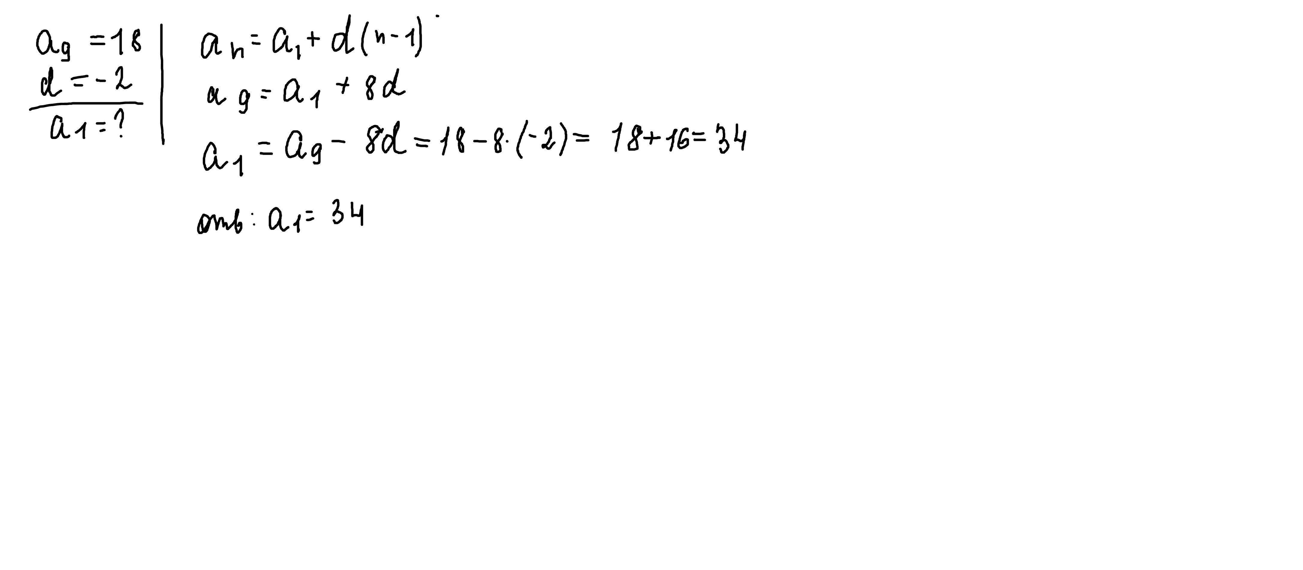
Знайдіть перший член арифметичної прогресії , якщо a9 = 18 ; а різниця прогресії d = - 2.

Знайдіть різницю арифметичної прогресії (аn), якщо а¹ = - 5, а⁹ = 7?
Знайдіть різницю арифметичної прогресії (аn), якщо а¹ = - 5, а⁹ = 7.
9 клас.

Знайти перший член арифметичної прогресії, якщо різниця дорівнює 3, а двадцять третій член дорівнює 47?
Знайти перший член арифметичної прогресії, якщо різниця дорівнює 3, а двадцять третій член дорівнює 47.

У арифметичній прогресії перший член дорівнює - 8, різниця дорівнює 12?
У арифметичній прогресії перший член дорівнює - 8, різниця дорівнює 12.
Знайдіть шостий член прогресії.

Знайдіть перший член геометричної прогресії якщо : на фото ?
Знайдіть перший член геометричної прогресії якщо : на фото .

Знайдіть перший додатковий член арифметичної прогресії - 10 ; - 8 ; - 6?
Знайдіть перший додатковий член арифметичної прогресії - 10 ; - 8 ; - 6.

Девятнадцятий член арифметичної прогресії дорівнює 16?
Девятнадцятий член арифметичної прогресії дорівнює 16.
Знайдіть суму тридцяти шести семи перших членів прогресії.

Обчислити суму перших 6 членів арифметичної прогресії (an), якщо дані перші члени : - 2 ; 3?
Обчислити суму перших 6 членів арифметичної прогресії (an), якщо дані перші члени : - 2 ; 3.

Знайдіть 11 член арифметичної прогресії якщо а2 = 12 d = - 5?
Знайдіть 11 член арифметичної прогресії якщо а2 = 12 d = - 5.

Обчисліть суму перших 15 перших членів арифметичної прогресії, якщо її шостий член дорівнює 2?
Обчисліть суму перших 15 перших членів арифметичної прогресії, якщо її шостий член дорівнює 2.
2, а різниця 2.
4.

3. Знайдіть дев'ятий член арифметичної прогресії, перший член якої а1 = 9, а різниця d = - 4?
3. Знайдіть дев'ятий член арифметичної прогресії, перший член якої а1 = 9, а різниця d = - 4.
.
Вы зашли на страницу вопроса Знайдіть перший член арифметичної прогресії , якщо a9 = 18 ; а різниця прогресії d = - 2?, который относится к категории Алгебра. По уровню сложности вопрос соответствует учебной программе для учащихся 5 - 9 классов. В этой же категории вы найдете ответ и на другие, похожие вопросы по теме, найти который можно с помощью автоматической системы «умный поиск». Интересную информацию можно найти в комментариях-ответах пользователей, с которыми есть обратная связь для обсуждения темы. Если предложенные варианты ответов не удовлетворяют, создайте свой вариант запроса в верхней строке.

Ответ :
а1 = 34
Объяснение :
решение внизу.