
Решите пожалуйста дробное рациональное уравнение через дискрименантx² - 4x + 3 \ x + 2 = 0 ( \ - черта дроби)?
Решите пожалуйста дробное рациональное уравнение через дискрименант
x² - 4x + 3 \ x + 2 = 0 ( \ - черта дроби).

Ноль это рациональное число ?
Ноль это рациональное число ?
.

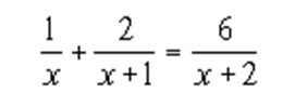
Помогите пожалуйста решить рациональное уравнение?
Помогите пожалуйста решить рациональное уравнение.

Решите дробно рациональное уравнениеX / X + 2 = 2 / X - 1?
Решите дробно рациональное уравнение
X / X + 2 = 2 / X - 1.

Решите системы рациональных уравнений методом подстановки?
Решите системы рациональных уравнений методом подстановки.

Вычислите наиболее рациональным способом?
Вычислите наиболее рациональным способом.

Решите дробно рациональное уравнение \ frac{ {y} ^ {2} }{y + 3} = \ frac{y}{y + 3} ?
Решите дробно рациональное уравнение
$ \ frac{ {y} ^ {2} }{y + 3} = \ frac{y}{y + 3} $
.

Вычислите рациональным способом?
Вычислите рациональным способом.

Решение дробно - рационального неравенства (знаменатель — произведение) методом интервалов?
Решение дробно - рационального неравенства (знаменатель — произведение) методом интервалов.
Выбери правильный ответ.

Вычислите наиболее рациональным способом ?
Вычислите наиболее рациональным способом :
На этой странице сайта вы найдете ответы на вопрос Решить дробно - рациональное уравнение?, относящийся к категории Алгебра. Сложность вопроса соответствует базовым знаниям учеников 5 - 9 классов. Для получения дополнительной информации найдите другие вопросы, относящимися к данной тематике, с помощью поисковой системы. Или сформулируйте новый вопрос: нажмите кнопку вверху страницы, и задайте нужный запрос с помощью ключевых слов, отвечающих вашим критериям. Общайтесь с посетителями страницы, обсуждайте тему. Возможно, их ответы помогут найти нужную информацию.


Решение прикреплено.
Удачи.
$\frac{1}{x}+\frac{2}{x+1} -\frac{6}{x+2}=0\\\\\frac{(x+1)(x+2)+2x(x+2)-6x(x+1)}{x(x+1)(x+2)}=0\\\\\frac{x^{2}+3x+2+2x^{2}+4x-6x^{2}-6x}{x(x+1)(x+2)} =0\\\\\frac{-3x^{2}+x+2 }{x(x+1)(x+2)}=0\\\\\left \{ {{3x^{2}-x-2=0 } \atop {x\neq0;x\neq-1;x\neq-2}} \right.\\\\3x^{2} -x-2=0\\\\D=(-1)^{2}-4*3*(-2)=1+24=25=5^{2}\\\\x_{1}=\frac{1+5}{6}=1\\\\x_{2}=\frac{1-5}{6}=-\frac{4}{6}=-\frac{2}{3}$.