
ПЖ СРОЧНО?
ПЖ СРОЧНО!
50 баллов
решите уравнение :
А)5×корень из 9х - корень из 4х = 26
Б) 1 / 4×корень из 16х + 2 / 5×корень из 25х = 1
В)корень из х ^ 2 - 6× корень из Х / 4 = 0
Г) корень из х ^ 2 = 12×корень из х / 9 - 4.

Сравните корень из 47 и корень из 45?
Сравните корень из 47 и корень из 45.

Корень из 6 разделить на корень из 3?
Корень из 6 разделить на корень из 3.
Сколько будет?

Вычеслите и округлите до десятых долей, если нужноКорень 6 корень 10 корень 15 : 8?
Вычеслите и округлите до десятых долей, если нужно
Корень 6 корень 10 корень 15 : 8.

Упроститеа)Корень из27х + корень из48х - корень из 108хб) корень из 20у + корень из 45у - корень из 80у?
Упростите
а)
Корень из27х + корень из48х - корень из 108х
б) корень из 20у + корень из 45у - корень из 80у
.

Корень из 20корень из 45корень из 162корень из 396корень из 54756с подробным решением пожалуйста?
Корень из 20
корень из 45
корень из 162
корень из 396
корень из 54756
с подробным решением пожалуйста.

(Корень из 10 + корень из 5) × корень из 20 - 5 корень из 8?
(Корень из 10 + корень из 5) × корень из 20 - 5 корень из 8.

Упростите : 1) (3×корень числа (20) + 7× корень числа (15) - корень числа (5))÷корень числа (5) ; 2) 2×корень числа (3 / 2) + корень числа (6) - 3× корень числа (2 / 3)?
Упростите : 1) (3×корень числа (20) + 7× корень числа (15) - корень числа (5))÷корень числа (5) ; 2) 2×корень числа (3 / 2) + корень числа (6) - 3× корень числа (2 / 3).
.

Корень из 2х + 1 - корень из х - 3 = корень из х + 1?
Корень из 2х + 1 - корень из х - 3 = корень из х + 1.

Корень из 6x - 3 = 0 (корень 6x - 3 это один общий корень)?
Корень из 6x - 3 = 0 (корень 6x - 3 это один общий корень).

Алгебра, 8 класс?
Алгебра, 8 класс.
Помогите решить пример, пожалуйста!
Числитель : корень из 70 минус корень из 30
Знаменатель : корень из 95 минус корень из 45.
Если вам необходимо получить ответ на вопрос Найти корень уравнения?, относящийся к уровню подготовки учащихся 5 - 9 классов, вы открыли нужную страницу. В категории Алгебра вы также найдете ответы на похожие вопросы по интересующей теме, с помощью автоматического «умного» поиска. Если после ознакомления со всеми вариантами ответа у вас остались сомнения, или полученная информация не полностью освещает тематику, создайте свой вопрос с помощью кнопки, которая находится вверху страницы, или обсудите вопрос с посетителями этой страницы.


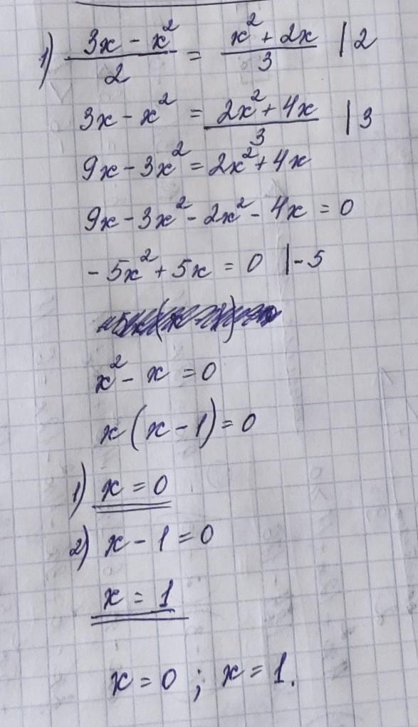
Ответ :
ответ :
х = 0 ; х = 1.
Объяснение :
.