Алгебра | 5 - 9 классы
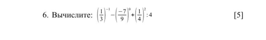
6 Вычислите, обратив внимание на порядок действий.
( Если степень отрицательная - переверните дробь!
) ДАЮ 20 БАЛЛОВ.

Вычислите 135 во второй степени - 125 во второй степени?
Вычислите 135 во второй степени - 125 во второй степени.

ПОМОГИТЕ ПОЖАЛУЙСТА, И РАССТАВЬТЕ ПОРЯДОК ДЕЙСТВИЙ И ПО ВСЕМ ДЕЙСТВИЯМ ПОЖАЛУЙСТА ?
ПОМОГИТЕ ПОЖАЛУЙСТА, И РАССТАВЬТЕ ПОРЯДОК ДЕЙСТВИЙ И ПО ВСЕМ ДЕЙСТВИЯМ ПОЖАЛУЙСТА .

Помогите с заданием у меня в отрицательной степени получается?
Помогите с заданием у меня в отрицательной степени получается.

Решите срочно, пж1)Замените дробь степенью с целым отрицательным показателем :1 / 2 (два в 5 степени)1 / x (x в 6 степени)1 / a2)Преобразуйте в дробь выражение :(x–2 – y–2) : (x–1 – y–1)?
Решите срочно, пж
1)Замените дробь степенью с целым отрицательным показателем :
1 / 2 (два в 5 степени)
1 / x (x в 6 степени)
1 / a
2)Преобразуйте в дробь выражение :
(x–2 – y–2) : (x–1 – y–1).

Вычислите (дробь)49⁴×7(в пятой степени) / 7¹²?
Вычислите (дробь)
49⁴×7(в пятой степени) / 7¹².

1 / c заменить дроби степенями с целым отрицательным показателем?
1 / c заменить дроби степенями с целым отрицательным показателем.

Запишите дробь в виде степени с отрицательным показателем 1 / 5 ^ 6 ; 1 / х ^ 5 ; 1 / 17?
Запишите дробь в виде степени с отрицательным показателем 1 / 5 ^ 6 ; 1 / х ^ 5 ; 1 / 17.

Как вы понимаете понятие степень числа с целым отрицательным показателем Помогите пожалуйста?
Как вы понимаете понятие степень числа с целым отрицательным показателем Помогите пожалуйста?
.

Помогите с алгеброй?
Помогите с алгеброй!
Замените дробь степенью с целым отрицательным показателем.
Вы открыли страницу вопроса 6 Вычислите, обратив внимание на порядок действий?. Он относится к категории Алгебра. Уровень сложности вопроса – для учащихся 5 - 9 классов. Удобный и простой интерфейс сайта поможет найти максимально исчерпывающие ответы по интересующей теме. Чтобы получить наиболее развернутый ответ, можно просмотреть другие, похожие вопросы в категории Алгебра, воспользовавшись поисковой системой, или ознакомиться с ответами других пользователей. Для расширения границ поиска создайте новый вопрос, используя ключевые слова. Введите его в строку, нажав кнопку вверху.


Ответ :
$( \frac{1}{3})^{ - 1} - ( \frac{ - 7}{9} )^{0} + ( \frac{1}{4})^{2} \div 4 = 3 - 1 + \frac{1}{16} \div 4 = 2 + \frac{1}{64} = \frac{129}{64} = 2 \frac{1}{64}$.