
Пожалуйста помогите решить 14 задание , очень нужно, заранее спасибо?
Пожалуйста помогите решить 14 задание , очень нужно, заранее спасибо.

Пожалуйста помогите решить, очень нужно, заранее спасибо?
Пожалуйста помогите решить, очень нужно, заранее спасибо!
65 пкт.

Помогите, очень нужно?
Помогите, очень нужно!
Зарание спасибо)).

Помогите решить, очень нужно?
Помогите решить, очень нужно!
Заранее спасибо ; ).

Помогите решить неравенство (очень нужно решение), заранее спасибо?
Помогите решить неравенство (очень нужно решение), заранее спасибо!

Помогите решить очень нужно?
Помогите решить очень нужно!
Заранее спасибо.

Помогите пожалуйста, очень нужно, решить только по середине, заранее спасибо?
Помогите пожалуйста, очень нужно, решить только по середине, заранее спасибо.

Решите пожалуйста очень нужно заранее спасибо?
Решите пожалуйста очень нужно заранее спасибо.

Помогите пожалуйста решить?
Помогите пожалуйста решить!
Срочно!
Очень нужно, заранее спасибо!

Помогите пожалуйста решить эту задачу, очень нужно, заранее спасибо?
Помогите пожалуйста решить эту задачу, очень нужно, заранее спасибо.
На этой странице находится ответ на вопрос Помогите решить, очень нужно?, из категории Алгебра, соответствующий программе для 5 - 9 классов. Чтобы посмотреть другие ответы воспользуйтесь «умным поиском»: с помощью ключевых слов подберите похожие вопросы и ответы в категории Алгебра. Ответ, полностью соответствующий критериям вашего поиска, можно найти с помощью простого интерфейса: нажмите кнопку вверху страницы и сформулируйте вопрос иначе. Обратите внимание на варианты ответов других пользователей, которые можно не только просмотреть, но и прокомментировать.


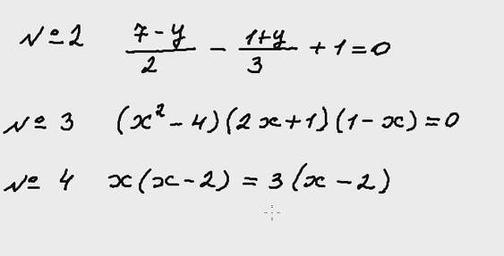
4)(х - 2)(х - 3) = 0
х = 2 или х = 3
3) х = 2 х = - 2 х = - 0.
5 х = 1
2)21 - 3y - 2 - 2y + 6 = 0 - 5y = - 25
y = 5.