Алгебра | 10 - 11 классы
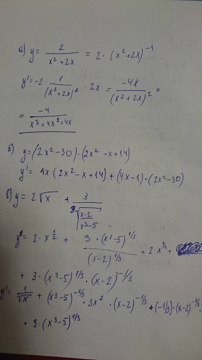
Найдите производные а) у = 2 / (икс в квадрате плюс два икс) б) у = (2икс в квадрате минус 30) умножить на ( два икс в квадрате минус икс плюс 14) в) у = два корень квадратный их икс + три делённое на корень кубический из икс минус два делённое на икс в кубе минус пять.

2x в квадрате плюс икс минус один делить на пять икс минус икс в квадрате плюс 7?
2x в квадрате плюс икс минус один делить на пять икс минус икс в квадрате плюс 7.

Икс в кубе плюс четыре икс в квадрате минус икс минус двадцать два?
Икс в кубе плюс четыре икс в квадрате минус икс минус двадцать два.

Помогите пожалуйста?
Помогите пожалуйста!
Хотя бы один!
1)Три икс в квадрате минус 14 Икс плюс 16 равно нулю 2) икс в квадрате минус 10 минус 25 равно нулю 3) пять икс в квадрате минус 16 Икс плюс 3 равно нулю 4)икс в квадрате плюс 2 икс минус 80 равно нулю 5) икс в квадрате минус 22 икс минус 23 равно нулю.

Выражение из квадрате плюс 9 Икс плюс 14 деленное на икс в квадрате минус 49?
Выражение из квадрате плюс 9 Икс плюс 14 деленное на икс в квадрате минус 49.

Икс в квадрате минус 4 икс плюс 35 равно минус 9 икс в квадрате плюс 11 икс плюс 45?
Икс в квадрате минус 4 икс плюс 35 равно минус 9 икс в квадрате плюс 11 икс плюс 45.

Сократить икс квадрат минус 11 икс плюс 24 деленый на икс квадрат минус 64?
Сократить икс квадрат минус 11 икс плюс 24 деленый на икс квадрат минус 64.

Икс в кубе минус 3 икс в квадрате игрек плюс 3 икс игрек в квадрате минус игрек в кубе?
Икс в кубе минус 3 икс в квадрате игрек плюс 3 икс игрек в квадрате минус игрек в кубе.

Упростить выражение : икс минус четыре умножить на икс плюс четыре минус в скобках икс минус один в квадрате?
Упростить выражение : икс минус четыре умножить на икс плюс четыре минус в скобках икс минус один в квадрате.

Икс в квадрате минус пять икс плюс 11 в квадрате минус икс минус один умножить на икс минус четыре равно семь?
Икс в квадрате минус пять икс плюс 11 в квадрате минус икс минус один умножить на икс минус четыре равно семь.

Икс куб плюс два икс квадрат минус тридцать пять икс?
Икс куб плюс два икс квадрат минус тридцать пять икс.
На этой странице находится ответ на вопрос Найдите производные а) у = 2 / (икс в квадрате плюс два икс) б) у = (2икс в квадрате минус 30) умножить на ( два икс в квадрате минус икс плюс 14) в) у = два корень квадратный их икс + три делённое на?, из категории Алгебра, соответствующий программе для 10 - 11 классов. Чтобы посмотреть другие ответы воспользуйтесь «умным поиском»: с помощью ключевых слов подберите похожие вопросы и ответы в категории Алгебра. Ответ, полностью соответствующий критериям вашего поиска, можно найти с помощью простого интерфейса: нажмите кнопку вверху страницы и сформулируйте вопрос иначе. Обратите внимание на варианты ответов других пользователей, которые можно не только просмотреть, но и прокомментировать.

Надеюсь, что это верно.