Алгебра | студенческий
Разложите на неприводимые многочлены над полем вещественных чисел многочлен.

Разложение многочлена на неприводимые множители {x} ^ {4} + 4 ?
Разложение многочлена на неприводимые множители
$ {x} ^ {4} + 4$ .

Разложите на множители многочлен?
Разложите на множители многочлен.

Умножьте многочлен на многочлен (х ^ 3 + 8ху - у ^ 2) * (5 - у ^ 2)?
Умножьте многочлен на многочлен (х ^ 3 + 8ху - у ^ 2) * (5 - у ^ 2).

Разложите на мжожители многочлен ?
Разложите на мжожители многочлен .

Представьте в виде многочлена?
Представьте в виде многочлена.
.

ДАЮ ВСЕ БАЛЛЫ?
ДАЮ ВСЕ БАЛЛЫ!
При каком наибольшем значении параметра a неравенство верно для всех вещественных значений x и y?

Разложить многочлен на множители?
Разложить многочлен на множители.

Нужно упростить многочлен?
Нужно упростить многочлен.

Многочлен к стандартному виду?
Многочлен к стандартному виду.
На этой странице вы найдете ответ на вопрос Разложите на неприводимые многочлены над полем вещественных чисел многочлен?. Вопрос соответствует категории Алгебра и уровню подготовки учащихся студенческий классов. Если ответ полностью не удовлетворяет критериям поиска, ниже можно ознакомиться с вариантами ответов других посетителей страницы или обсудить с ними интересующую тему. Здесь также можно воспользоваться «умным поиском», который покажет аналогичные вопросы в этой категории. Если ни один из предложенных ответов не подходит, попробуйте самостоятельно сформулировать вопрос иначе, нажав кнопку вверху страницы.


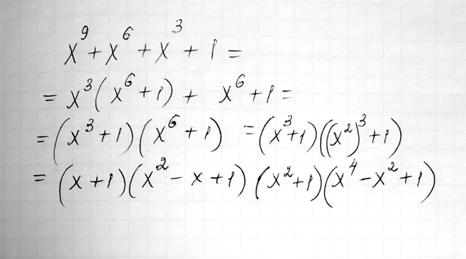
Объяснение :
$x^9+x^6+x^3+1=(x^9+x^6)+(x^3+1)=x^6*(x^3+1)+(x^3+1)=\\\\=(x^3+1)*(x^6+1).$.
Ответ :
Объяснение :
решение на фото.