
2у + 3х = 1 - у + х = 3 решение систем линейных уравнений?
2у + 3х = 1 - у + х = 3 решение систем линейных уравнений.

Помогите, пожалуйста, решить систему уравнений?
Помогите, пожалуйста, решить систему уравнений.

РЕШИТЕ, ПОЖАЛУЙСТА, систему уравнений?
РЕШИТЕ, ПОЖАЛУЙСТА, систему уравнений.

Решите пожалуйста систему уравнений?
Решите пожалуйста систему уравнений.

Дана система трех линейных уравнений с тремя неизвестными?
Дана система трех линейных уравнений с тремя неизвестными.
Требуется записать систему в матричной форме и решить ее средствами матричного исчисления.

Решить систему линейных уравнений с тремя неизвестными по формулам Крамера?
Решить систему линейных уравнений с тремя неизвестными по формулам Крамера.

Помогите решить систему линейных уравнений методом сложенияX - 2y = 8 ; 3x + 2y = 16?
Помогите решить систему линейных уравнений методом сложения
X - 2y = 8 ; 3x + 2y = 16.
.

Помогите пожалуйста решить систему уравнений?
Помогите пожалуйста решить систему уравнений.

Решите систему уравнений?
Решите систему уравнений.
Постройте график линейного уравнения.
1) 5х + у = 4
2) х + 2у = 3.

Решите линейное уравнение пожалуйста на фото?
Решите линейное уравнение пожалуйста на фото.
На этой странице находится ответ на вопрос Помогите пожалуйста решить систему линейных уравнений?, из категории Алгебра, соответствующий программе для 5 - 9 классов. Чтобы посмотреть другие ответы воспользуйтесь «умным поиском»: с помощью ключевых слов подберите похожие вопросы и ответы в категории Алгебра. Ответ, полностью соответствующий критериям вашего поиска, можно найти с помощью простого интерфейса: нажмите кнопку вверху страницы и сформулируйте вопрос иначе. Обратите внимание на варианты ответов других пользователей, которые можно не только просмотреть, но и прокомментировать.


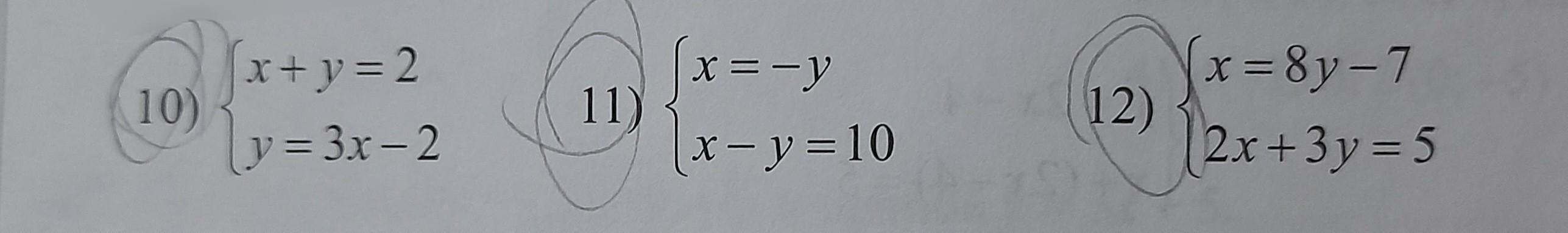
$\displaystyle\bf\\1)\\\\\left \{ {{x+y=2} \atop {y=3x-2}} \right. \\\\\\\left \{ {{x+3x-2=2} \atop {y=3x-2}} \right. \\\\\\\left \{ {{4x=4} \atop {y=3x-2}} \right. \\\\\\\left \{ {{x=1} \atop {y=3\cdot 1-2}} \right. \\\\\\\left \{ {{x=1} \atop {y=1}} \right. \\\\\\Otvet \ : \ (1 \ ; \ 1)\\\\2)\\\\\left \{ {{x=-y} \atop {x-y=10}} \right. \\\\\\\left \{ {{x=-y} \atop {-y-y=10}} \right. \\\\\\\left \{ {{x=-y} \atop {-2y=10}} \right.$
$\displaystyle\bf\\\left \{ {{x=-(-5)} \atop {y=-5}} \right. \\\\\\\left \{ {{x=5} \atop {y=-5} \right. \\\\\\Otvet \ : \ (5 \ ; \ -5)\\\\3)\\\\\left \{ {{x=8y-7} \atop {2x+3y=5}} \right.\\\\\\\left \{ {{x=8y-7} \atop {2\cdot(8y-7)+3y=5}} \right.\\\\\\\left \{ {{x=8y-7} \atop {16y-14+3y=5}} \right. \\\\\\\left \{ {{x=8y-7} \atop {19y=19}} \right. \\\\\\\left \{ {{x=8\cdot 1-7} \atop {y=1}} \right. \\\\\\\left \{ {{x=1} \atop {y=1}} \right. \\\\\\Otvet \ : \ (1 \ ; \ 1)$.
Объяснение :
10)
{х + у = 2
{у = 3х - 2
{х + 3х - 2 = 2
4х = 4
х = 1
у = 1
11){х = - у
{х - у = 10 - у - у = 10 - 2у = 10
у = - 5
х = 5
12)
{х = 8у - 7
{2х + 3у = 5
2(8у - 7) + 3у = 5
16у - 14 + 3у = 5
19у = 19
у = 1
х = 1.