
Помогите решить 2 и 4 задание по логарифмам?
Помогите решить 2 и 4 задание по логарифмам.

Задание вложено ?
Задание вложено !
Решите , пожалуйста !

Логарифмы?
Логарифмы.
Помогите решить, фотография в задании.
Найти :

Логарифмы Помогите с любым из заданий, пожалуйста?
Логарифмы Помогите с любым из заданий, пожалуйста.

Задание вложено ?
Задание вложено !
Решите , пожалуйста !

1 задание на логарифм?
1 задание на логарифм.

Помогите решить домашнее задание с логарифмами?
Помогите решить домашнее задание с логарифмами.

Ребят помогите ЛОГАРИФМЫ?
Ребят помогите ЛОГАРИФМЫ.
Свойства логарифмов.
Задание А3, В1, В2.

Помогите с заданием с логарифмами, пожалуйстазадание внутри?
Помогите с заданием с логарифмами, пожалуйста
задание внутри!

Помогите пожалуйста, чем сможете ^ ?
Помогите пожалуйста, чем сможете ^ .
^ Задание вложено.
Вы открыли страницу вопроса Помогите с логарифмами, задание вложено?. Он относится к категории Алгебра. Уровень сложности вопроса – для учащихся 5 - 9 классов. Удобный и простой интерфейс сайта поможет найти максимально исчерпывающие ответы по интересующей теме. Чтобы получить наиболее развернутый ответ, можно просмотреть другие, похожие вопросы в категории Алгебра, воспользовавшись поисковой системой, или ознакомиться с ответами других пользователей. Для расширения границ поиска создайте новый вопрос, используя ключевые слова. Введите его в строку, нажав кнопку вверху.


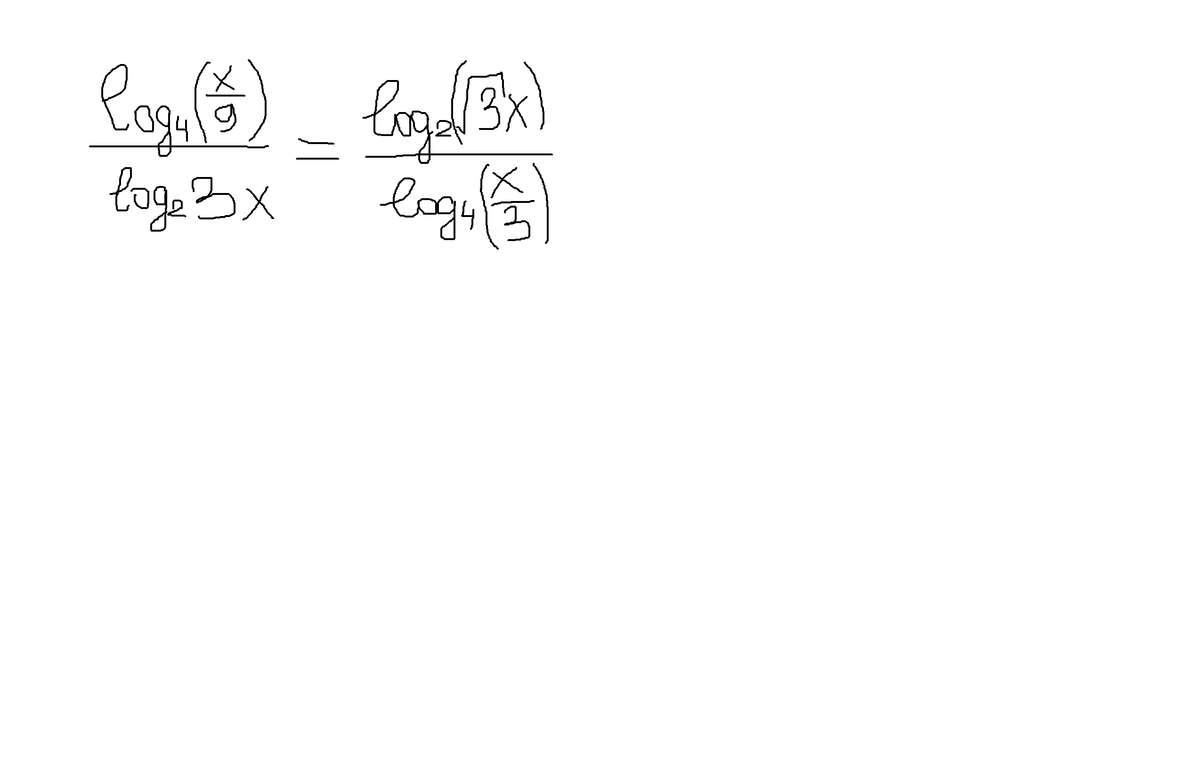
Log4(x / 9) / log2(3x) = log2(корень(3)x) / log4(x / 3)
log2 ^ 2(x / 9) / log2(3x) = log2(корень(3)x) / log2 ^ 2(x / 3)
(1 / 2) * log2(x / 9) / log2(3x) = log2(корень(3)x) / ((1 / 2) * log2(x / 3))
log2(x / 9) / log2(3x) = 4 * log2(корень(3)x) / log2(x / 3)
Используем свойство логарифма log a(b) = log c(b) / log c(a)
log3x(x / 9) = 4 * log(x / 3)(корень(3)x)
Повторно используем это же свойство
log3(x / 9) / log3(3x) = 4 * log3(корень(3)x) / log3(x / 3)
(log3(x) - log3(9)) / (log3(3) + log3(x)) = 4 * (log3(корень(3)) + log3(x)) / (log3(x) - log3(3)
(log3(x) - log3(3 ^ 2)) / (1 + log3(x)) = 4(log3(3 ^ (1 / 2)) + log3(x)) / (log3(x) - 1)
(log3(x) - 2) / (1 + log3(x)) = 4(1 / 2 + log3(x)) / (log3(x) - 1)
(log3(x) - 2) / (1 + log3(x)) = (2 + 4log3(x)) / (log3(x) - 1)
Замена переменных y = log3(x)
(y - 2) / (y + 1) = (2 + 4y) / (y - 1)
(2 + 4y) / (y - 1) - (y - 2) / (y + 1) = 0
[(2 + 4y)(y + 1) - (y - 2)(y - 1)] / [(y - 1)(y + 1)] = 0
(4y ^ 2 + 6y + 2 - y ^ 2 + 3y - 2) / (y ^ 2 - 1) = 0
(3y ^ 2 + 9y) / (y ^ 2 - 1) = 0
(y ^ 2 + 3y) / (y ^ 2 - 1) = 0
ОДЗ : y = / = 1 ; y = / = - 1
y(y + 3) = 0
y1 = 0 ; y2 = - 3
Находим х
log3(x) = 0
х1 = 1
log3(x) = - 3
х2 = 1 / 27.