
Скоротіть дріб у - у ^ 2 / 12у?
Скоротіть дріб у - у ^ 2 / 12у.
Срочно.

Скоротіть дріб будь ласкс?
Скоротіть дріб будь ласкс.

Скоротіть дріб m / m² + mn?
Скоротіть дріб m / m² + mn.

Скоротити дріб75 балов даю ?
Скоротити дріб
75 балов даю .

Скоротіть дріб 1х° + 12х + 9?
Скоротіть дріб 1х° + 12х + 9.

Розв'язати / спростити дріб, за зразком?
Розв'язати / спростити дріб, за зразком.

Перетворіть десятковий дріб 0, 36 у відсотки?
Перетворіть десятковий дріб 0, 36 у відсотки.
Помогите пожалуйста.

1. При якому значенні х не має змісту дріб x + 5 (дріб) x - 12?
1. При якому значенні х не має змісту дріб x + 5 (дріб) x - 1
2.
При якому значенні х дорівнює нулю значення дробу x - 2(дріб)x - 1.
На этой странице находится вопрос Скоротіть дріб помогите пожалуйста?. Здесь же – ответы на него, и похожие вопросы в категории Алгебра, которые можно найти с помощью простой в использовании поисковой системы. Уровень сложности вопроса соответствует уровню подготовки учащихся 5 - 9 классов. В комментариях, оставленных ниже, ознакомьтесь с вариантами ответов посетителей страницы. С ними можно обсудить тему вопроса в режиме on-line. Если ни один из предложенных ответов не устраивает, сформулируйте новый вопрос в поисковой строке, расположенной вверху, и нажмите кнопку.



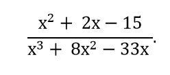
Прикрепил фото
В числителе раскладывается по теореме Виета.
В знаменателе выносим на скобки х и так же как и в числителе по теореме Виета раскладываем многочлен в одночлен, а дальше скорачиваем.