
Решить неравенство?
Решить неравенство.
См. вложение.
P. s а здесь будет ОДЗ?

Помогите решить №536 с ОДЗ все заранее спасиборешение тоже наод?
Помогите решить №536 с ОДЗ все заранее спасибо
решение тоже наод.

Помогите решить уравнение пожалуйста ( с решением, ОДЗ )?
Помогите решить уравнение пожалуйста ( с решением, ОДЗ ).

Помогите решить уравнение ( с решением, ОДЗ )?
Помогите решить уравнение ( с решением, ОДЗ ).

Помогите решить уравнение пожалуйста ( с решением, ОДЗ )?
Помогите решить уравнение пожалуйста ( с решением, ОДЗ ).

Нужно решить неравенство?
Нужно решить неравенство.
Пожалуйста подробно с одз ; даю 60 баллов !
Заранее спасибо!

Здравствуйте, помогите пожалуйста решить неравенство Мне срочно нужно подробное решение с ОДЗ Поэтому даю 99 баллов Надеюсь на вашу помощь, заранее спасибо?
Здравствуйте, помогите пожалуйста решить неравенство Мне срочно нужно подробное решение с ОДЗ Поэтому даю 99 баллов Надеюсь на вашу помощь, заранее спасибо!

Помогите решить, пожалуйста?
Помогите решить, пожалуйста.
Только с полным решением и ОДЗ, пожалуйста.

ПОМОГИТЕ РЕШИТЬ НЕРАВЕНСТВА ?
ПОМОГИТЕ РЕШИТЬ НЕРАВЕНСТВА !
(ПОДРОБНОЕ РЕШЕНИЕ С ОДЗ !
).

РЕШИТЕ НЕРАВЕНСТВО log8(4 - 2x)≥2 (ПОДРОБНОЕ РЕШЕНИЕ ?
РЕШИТЕ НЕРАВЕНСТВО log8(4 - 2x)≥2 (ПОДРОБНОЕ РЕШЕНИЕ !
С ОДЗ !
).
На этой странице находится вопрос ПОМОГИТЕ РЕШИТЬ НЕРАВЕНСТВО ?. Здесь же – ответы на него, и похожие вопросы в категории Алгебра, которые можно найти с помощью простой в использовании поисковой системы. Уровень сложности вопроса соответствует уровню подготовки учащихся 10 - 11 классов. В комментариях, оставленных ниже, ознакомьтесь с вариантами ответов посетителей страницы. С ними можно обсудить тему вопроса в режиме on-line. Если ни один из предложенных ответов не устраивает, сформулируйте новый вопрос в поисковой строке, расположенной вверху, и нажмите кнопку.


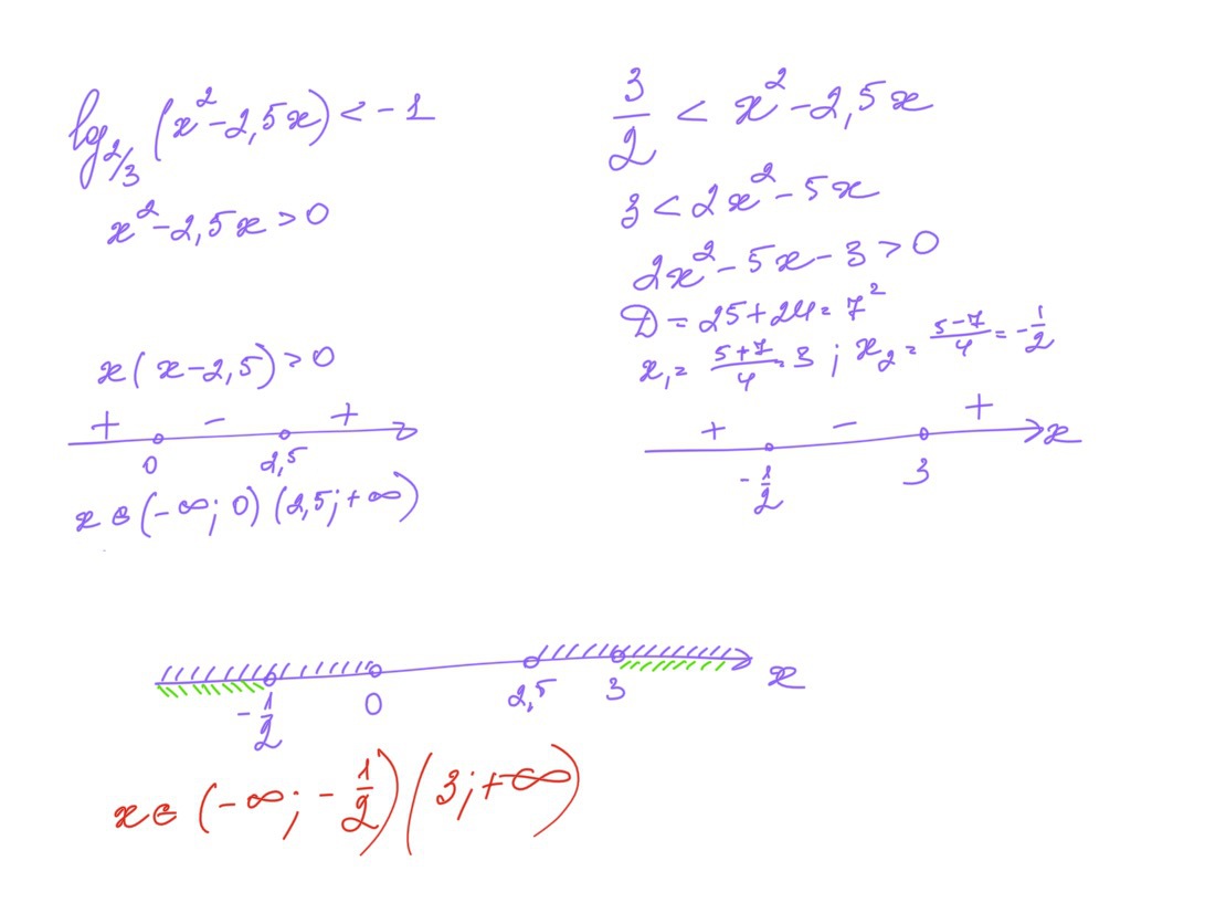
Например так как во вложении.
Log_(2 / 3) (x² - 2, 5x) < ; - 1⇔x² - 2, 5x > ; (2 / 3) ^ ( - 1) > ; 0, т.
К. основания логарифма0< ; 2 / 3< ; 1_ (функция убывающая ).
X² - 2, 5x > ; 3 / 2 ⇔2x² - 5x - 3 > ; 0⇔2(x + 1 / 2)(x - 3)> ; 0 .
Методом интервалов : + - + - - - - - - - - - ( - 1 / 2) - - - - - - - 3 - - - - - - - - -
ответ : x∈( - ∞ ; - 1 / 2) U (3 ; ∞).
- - - - - - -
2x² - 5x - 3 = 0 ;
D = 5² - 4 * 2( - 3) = 25 + 24 = 49 = 7².
X₁ = (5 - 7) / (2 * 2) = - 2 / 4 = - 1 / 2 ;
x₂ = (5 + 7) / (2 * 2) = 12 / 4 = 3.
2x² - 5x - 3 = 2(x - x₁)(x - x₂) = 2(x + 1 / 2)(x - 3).