Алгебра | 10 - 11 классы
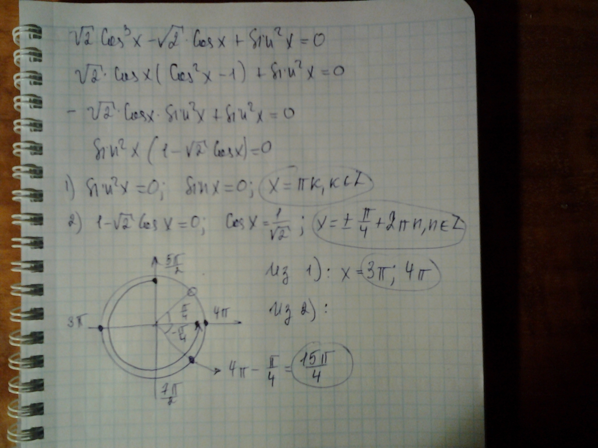
Решить уравнение и найти корни принадлежащие промежутку [5п / 2 ; 4п].

А)Решите уравнение cos2x = 1 - cosб)Найдите все корни этого уравнения, принадлежащие промежутку?
А)Решите уравнение cos2x = 1 - cos
б)Найдите все корни этого уравнения, принадлежащие промежутку.

Решить уравнение : cos ^ 2x - cos2x = 0, 75 и найти все корни, принадлежащие промежутку [ - 2П ; - П / 2]?
Решить уравнение : cos ^ 2x - cos2x = 0, 75 и найти все корни, принадлежащие промежутку [ - 2П ; - П / 2].

Найти корни уравнения 3tgx = - 3 в корне принадлежащие промежутку [0 ; 2П]?
Найти корни уравнения 3tgx = - 3 в корне принадлежащие промежутку [0 ; 2П].

Решить sqrt2 * cos ^ 2x = sin(x - п / 2) и найти все корни этого уравнения, принадлежащие промежутку [ - 3п / 2 ; - п]?
Решить sqrt2 * cos ^ 2x = sin(x - п / 2) и найти все корни этого уравнения, принадлежащие промежутку [ - 3п / 2 ; - п].

Tgx + ctgx = 2 Найти все корни уравнения принадлежащие промежутку [?
Tgx + ctgx = 2 Найти все корни уравнения принадлежащие промежутку [.

Найти корни уравнения cos 2x = 1 / 2, принадлежащие промежутку [p ; 3p / 2]?
Найти корни уравнения cos 2x = 1 / 2, принадлежащие промежутку [p ; 3p / 2].

А)Решите уравнение б) Найдите все корни этого уравнения, принадлежащие промежутку?
А)Решите уравнение б) Найдите все корни этого уравнения, принадлежащие промежутку.

Решите уравнение cos4x - sin2x = 0 и укажите корни, принадлежащие промежутку [0 ; п]?
Решите уравнение cos4x - sin2x = 0 и укажите корни, принадлежащие промежутку [0 ; п].

Решите уравнение Найдите все корни этого уравнения, принадлежащие промежутку?
Решите уравнение Найдите все корни этого уравнения, принадлежащие промежутку.

Решите уравнение и найдите корни, принадлежащие промежутку (0 ; п / 2)?
Решите уравнение и найдите корни, принадлежащие промежутку (0 ; п / 2).
На этой странице находится ответ на вопрос Решить уравнение и найти корни принадлежащие промежутку [5п / 2 ; 4п]?, из категории Алгебра, соответствующий программе для 10 - 11 классов. Чтобы посмотреть другие ответы воспользуйтесь «умным поиском»: с помощью ключевых слов подберите похожие вопросы и ответы в категории Алгебра. Ответ, полностью соответствующий критериям вашего поиска, можно найти с помощью простого интерфейса: нажмите кнопку вверху страницы и сформулируйте вопрос иначе. Обратите внимание на варианты ответов других пользователей, которые можно не только просмотреть, но и прокомментировать.

Применены : основное тригонометрическое тождество, табличные значения синуса и косинуса.